Малосигнальные схемы замещения транзистора
В общем случае транзистор представляет собой активный (способный преобразовывать энергию источника сигнала) нелинейный четырехполюсник (рис. 3.33,а). Его можно описать семействами характеристик - нелинейными функциями двух переменных.
. (3.45)
В зависимости от схемы включения транзистора величинам i1, i2, u1, u2 соответствуют те или иные реальные токи и напряжения.

Однако на практике часто приходится сталкиваться с задачей усиления малых сигналов. В этом случае на постоянные составляющие токов I(0) и напряжений U(0) (определяющих рабочую точку транзистора) наложены малые переменные сигналы D i(t), D u(t) или:
(3.46)
Связи между малыми приращениями линейны и определяются полными дифференциаламифункций f1 и f2:
(3.47)
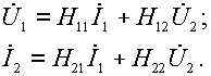
Частные производные перед независимыми переменными обозначим символами h11, h12, h21, h22 и будем называть h-параметрами транзистора. (В зависимости от схемы включения в обозначения добавляется индекс, например, h11Э или h11Б или h11К). Зададим приращения токов и напряжений в виде малых гармонических колебаний. Тогда уравнения (3.47) можно записать:
U1m = h11 I1m + h12 U2m ;
I2m = h21I1m + h22 U2m . (3.48)
Уравнениям (3.48) соответствует эквивалентная схема (рис. 3.33,б). Из (3.48) вытекают смысл и наименование h-параметров:
- входное сопротивление транзистора при коротком замыкании на выходе для малой переменной составляющей тока;
- коэффициент обратной связи по напряжению при разомкнутом входе для переменной составляющей тока;
- дифференциальный коэффициент передачи тока при коротком замыкании на выходе для переменной составляющей;
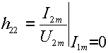
- выходная проводимость транзистора при разомкнутом входе для переменной составляющей тока. Отметим, что h-параметры являются дифференциальными. На высоких частотах между переменными составляющими токов и напряжений появляются фазовые сдвиги и параметры становятся комплексными. При этом (3.48) записываются в виде:
(3.49)
Дата добавления: 2015-08-11; просмотров: 1294;
