Модели для активного режима работы транзистора
Рассмотренные выше нелинейные модели транзистора справедливы для любого режима работы. Однако, для наиболее важного активного режима они могут быть существенно упрощены: Во-первых, можно исключить элементы, описывающие инверсную составляющую тока связи (генератор a I i2). Во-вторых, в качестве одного из аргументов целесообразно рассматривать входной ток транзистора (ток эмиттера в схеме с ОБ и ток базы в схеме ОЭ), так как сопротивление открытого эмиттерного перехода мало, и внешняя цепь по отношению к транзистору в большинстве случаев может рассматриваться как генератор входного тока.
Рассмотрим транзистор в схеме с ОБ, работающий в активном режиме (рис.3.16). Если разорвать цепь эмиттера, то под действием обратного напряжения на коллекторе через коллекторный переход из коллектора в базу будет протекать обратный ток IКБ0. Его величина приводится в справочных данных транзистора. Подчеркнем, что ток IКБ0 следует именно измерять, так как аналитически оценить все составляющие обратного тока невозможно (если использовать формулу, связывающую IКБ0 и IКБК, получаемую из уравнений Эберса - Молла, то получится очень большая ошибка).
Таким образом, при iЭ =0 , iК= IКБ0.
Если теперь замкнуть цепь эмиттера, то появится ток iЭ=EЭ/RЭ (задаваемый внешней цепью). Ток эмиттера будет передаваться в коллектор с коэффициентом a .
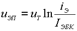
В результате получим: iК =a iЭ+IКБ0 . (3.24)
Напряжение на эмиттерном переходе можно вычислить с помощью (3.21). Пренебрегая малыми тепловыми токами, получаем:
. (3.25)
Эквивалентная схема транзистора для активного режима приведена на рис. 3.17. В схему добавлено сопротивление тела базы r¢ Б. Отметим, что в практических расчетах прямое напряжение uЭП часто считают не зависящим от тока эмиттера (при изменении тока эмиттера в 10 раз напряжение на эмиттерном переходе изменяется на 60 мВ) и принимают uЭП» U*, где U* - пороговое напряжение перехода. Для кремниевых транзисторов U*» 0,6-0,8 В. Током IКБ0 для кремниевых транзистором пренебрегают.
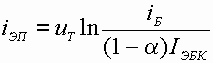
Для включения с ОЭ (рис.3.18) в качестве входного тока рассматривается ток базы. Учитывая что iЭ= iК+iБ,исключим ток iЭ из выражения (3.24) iК =a ( iК+iБ)+IКБО , тогда
. (3.26)
IКЭ0 » b I КБ0 - называется сквозным тепловым током транзистора. Это ток между эмиттером и коллектором при оборванном выводе базы. Для вычисления напряжения на эмиттерном переходе используем (3.25). Считая, что iБ» (1- a iЭ), получим:
. (3.27)
Эквивалентная схема для включения с ОЭ приведена на рис.3.19.
|
|
Дата добавления: 2015-08-11; просмотров: 851;
