Коэффициенты передачи токов
Полезный эффект в транзисторе создается за счет передачи эмиттерного тока из эмиттера в коллектор. Количественно эффективность этого процесса оценивают с помощью статического коэффициента передачи тока эмиттера a . Введем:
при uКП = 0. Смысл условияuКП= 0 заключается в том, что при этом дополнительный ток коллекторного перехода iКД = 0, и в коллекторной цепи течет только нормальная составляющая iN полезного электронного тока. Тогда:
. .
Аналогично можно ввести и инверсный коэффициент передачи тока a I , или
.
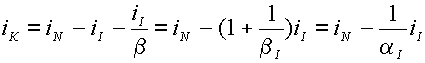
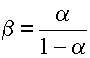
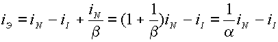
Отсюда следует: a iN + a iЭД = iN и a I iI + a I iКД = iI , тогда
, (3.17)
, (3.18)
где:
и
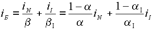
- статические коэффициенты передачи тока базы, прямой и инверсный соответственно. С учетом (3.17) и (3.18) формулы (3.1) удобно представить в виде:
;
;
.
В рассматриваемой упрощенной теории коэффициенты a , a I , b , b I считаются постоянными, однако опыт показывает, что они изменяются, как при изменении тока связи iЭ-К ( на практике рассматривают зависимость от тока эмиттера iЭ, отличающегося от тока связи на несколько процентов, но легко измеряемого), так и от обратного напряжения на коллекторном переходе uКП.Типичный вид зависимостей для b показан на рис.3.13 а,б. (Коэффициент a изменяется аналогично, но его изменениями можно пренебречь, так как a » 1. Пример: если a =0,99, то b = a /(1- a ) =99 , а при a =0,98 b =49. Таким образом, изменению a на 1% соответствует изменение b примерно в 2 раза). В области малых токов эмиттера (рис. 3.13а, участок 1) спад b связан с рекомбинацией носителей в самом эмиттерном переходе; в области больших токов (участок 3) уменьшение b связано с увеличением концентрации дырок в базе и возрастанием дырочной составляющей тока эмиттерного перехода. Возрастание b с увеличением обратного напряжения на коллекторе вызвано уменьшением ширины базы и рекомбинационных составляющих токов.
Дата добавления: 2015-08-11; просмотров: 1021;
