Перенос электронов из эмиттера в коллектор. Ток связи
Расчет полезной электронной составляющей токов транзистора - тока связи iЭ-К - проведем, пренебрегая малыми дополнительными токами. С физической точки зрения это соответствует отсутствию рекомбинации в базе и переходах транзистора. Электронный поток из эмиттера в коллектор одинаков в любом сечении транзистора, а его величина зависит от процессов в базовой области ( в эмиттере и коллекторе электроны являются основными носителями, их концентрация велика и движение обеспечивается пренебрежимо малыми электрическими полями).
Перемещение электронов в базовой области (для нее электроны - неосновные носители) происходит путем диффузии за счет разной концентрации на границах базы с эмиттерным и коллекторным переходами, см. рис. 3.10, ( для определенности будем полагать, что на обоих переходах действуют прямые напряжения uЭП >uКП >0. Естественно, что дальнейшие рассуждения справедливы при произвольных напряжениях на переходах).

Вычисление тока связи будем проводить в произвольном сечении базы в следующей последовательности:
1. Найдем общее решение уравнения диффузии для электронов в базе.
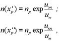
2. Найдем граничные концентрации n(xўp) и n(xўўp).
3. Получим распределение n(x) концентрации электронов и определим градиент концентрации 
Определим величину диффузионного тока в базовой области, равного току связи. В соответствии с граничным уравнением p-n-перехода получим:
(3.2)
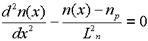
где np- равновесная концентрация электронов в p-базе. Запишем стационарное уравнение диффузии для электронов:
(3.3)
Если пренебречь рекомбинацией в базе (это эквивалентно условиюLn ® Ґ ), то уравнение (3.3) упрощается и приобретает вид:
или
(3.4)
Таким образом, решением уравнения будет прямая линия, проходящая через точки n(xў p) и n(xpўў ). Распределение электронов в p-базе показано на рис 3.10, из которого с учетом (3.2) следует:
.
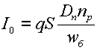
Тогда ток связи может быть рассчитан по формуле:
,
где S - площадь переходов транзистора. Окончательно:
(3.5)
где
(3.6).
Ток I0 называется тепловым током транзистора (в зарубежной литературе - током насыщения). Он аналогичен электронной составляющей теплового тока изолированного p-n-перехода.
Часто ток связи представляют в виде разности нормальной iN и инверсной iI составляющих.
, (3.7)
где
(3.8);
(3.9).
Физически iN - это ток связи при uКП = 0 , а iI - ток связи при uЭП = 0. Таким образом, ток связи имеет две составляющие, каждая из которых зависит от напряжения на одном из переходов.
Дата добавления: 2015-08-11; просмотров: 804;
