Дополнительные токи переходов

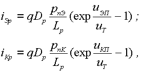
Дополнительные токи переходов складываются из дырочных и рекомбинационных составляющих (см. рис. 3.11). В каждом переходе транзистора, помимо электронных, протекают и дырочные составляющие токов, обусловленные инжекцией дырок - основных носителей заряда в p-базе. Так как концентрация примеси в базе мала NАБ<<NDЭ , эти токи в десятки и более раз меньше электронных. Они могут быть рассчитаны по формулам:
(3.10)
где pnЭ и pnК - равновесные концентрации дырок в эмиттере и коллекторе соответственно. Рекомбинационные токи i' рек и i' ' рек обусловлены частичной рекомбинацией электронов, диффундирующих из эмиттера в коллектор. Скорость рекомбинации в базе (и рекомбинационные токи) пропорциональны избыточному числу неосновных носителей во всей базовой области (площадь под распределением D n(x) на рис. 3.10. D n(x) = n(x)- np ), или
. (3.11)
Учитывая , что распределение D n(x) - линейно, по формуле трапеции получим:
, (3.12)
где
; (3.13)
. (3.14)
Ток i' рек(uЭП) определяется рекомбинацией электронов, соответствующих нормальной составляющей тока связи iN, а i'' рек(uКП) - инверсной iI. Дополнительные токи каждого перехода складываются из рекомбинационных и дырочных составляющих :
(3.15)
и зависят каждый от напряжения на своем переходе.
Дата добавления: 2015-08-11; просмотров: 817;
