Триггеры. Триггер – это устройство, имеющее два устойчивых состояния, способное под воздействием управляющего сигнала скачком переходить из одного состояния в другое и
Триггер – это устройство, имеющее два устойчивых состояния, способное под воздействием управляющего сигнала скачком переходить из одного состояния в другое и хранить это состояние сколь угодно долго. Способность хранить состояние сколь угодно долго и определяет "память" триггера.
Триггеры классифицируются:
- по числу информационных входов: с одним входом, с двумя входами и более;
- по моменту срабатывания: асинхронные и синхронные триггеры;
- по функциональному назначению:
триггеры с раздельным запуском (RS-типа),
счетные (Т-типа), комбинированные (RST-типа), универсальные (JK-типа), задержки (D-триггер) и др.;
- по типу входного воздействия: триггеры со статическими входами, триггеры с динамическими входами.
Статические входы – это такие, по которым входной сигнал оказывает свое воздействие в течение всей его длительности. При динамических входах сигнал воздействует на триггер только на длительности фронта или среза.
Все триггеры имеют два выхода – прямой "Q" и инверсный "
". Информация на одном выходе является инверсией информации на другом. В основу построения триггеров положено применение логических элементов "ИЛИ-НЕ" или "И-НЕ" и обратных связей.
Схема RS триггера на элементах "ИЛИ-НЕ" приведена на рис.18.1а. На рис. 18.1б показано его условное обозначение. Управление схемой.
Входы
| прямой выход | |
| S | R | Qn+1 |
| Qn | ||
| Неопреде-ленность |
в)
Рис. 18.1
осуществляется по уровню логической "1". Это значит, что когда на входах присутствует "0", т. е.
,
, состояние триггера не меняется. Уровень "0" является нейтральным.
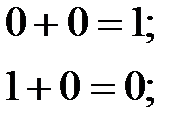
Перед анализом работы схемы приведем логические действия элемента "ИЛИ-НЕ":
(18.1)
Пусть после включения питания на входах и выходах схемы установились состояния: R = 0; S = 0; Q = 1;
. Уровень "1" с выхода Q поступает на вход С элемента Э2. На входе В по условию присутствует "0". Согласно (18.1) входные сигналы Э2 сформируют на его выходе уровень логического "0".
Этот уровень поступает на вход D элемента Э1. На входе А этого элемента также присутствует "0". Такие состояния, согласно (18.1), формируют на выходе Э1 уровень логической "1". Таким образом, состояние первого элемента поддерживает состояние второго и наоборот, т. е. это устойчивое состояние триггера.
Пусть в некоторый момент времени t1 на вход R поступает сигнал с логическим уровнем "1". Так как на входе D Э1 в это время присутствует уровень "0", то, согласно (18.1), уровень выхода Э1 скачком изменится с "1" до "0", т. е. Q = 0. Теперь на входы С и В элемента Э2 воздействует уровень логического "0". Поэтому выход Э2 скачком изменяет уровень от "0" до "1", т. е.
.
Новое состояние триггера так же устойчивое. Оно не изменится, когда на вход R будет воздействовать уровень логического "0". При поступлении на вход R новых "1" состояние триггера останется прежним. Оно изменится только в том случае, когда уровень "1" поступит на вход S. Таким образом, RS-триггер управляется поочередно по двум входам.
Таблица возможных состояний триггера приведена на рис. 18.1в. При отсутствии входных сигналов
триггер сохраняет информацию о последней из поступивших команд, т. е. служит элементом памяти. Сочетание входных сигналов
является недопустимым. При таком сочетании триггер может принять любое состояние. Потому оно не применяется.
Схема RS-триггера на элементах "И-НЕ" приведена на рис. 18.2. На рис. 18.1б показано его условное обозначение. Собственно триггер собран на элементах Э3 и Э4. Элементы Э1 иЭ2 выполняют роль инверторов. Логические действия для элементов "И-НЕ" имеют вид:
(18.2)
Исполнительным значением двоичного сигнала для элементов "И-НЕ" является "0", нейтральным – "1". Если на А и В присутствует уровень "1", то состояние триггера устойчивое. Пусть, например, А = В = 1, Q = 1,
. Уровень "1" с выхода Q поступает на вход С, а так как вход В = 1 по условию, то согласно (18.2) на выходе элемента Э4 формируется уровень логического "0". Этот уровень поступает на вход D элемента Э3. Вход А этого элемента равен "1" по условию. По (18.2) эти уровни сформируют на выходе элемента Э3 логическую "1". Таким образом, состояние элемента Э3 поддерживает состояние элемента Э4 и наоборот, т. е. это устойчивое состояние триггера.
Совершенно аналогично можно показать, что состояние А = В = 1, Q = 0,
так же устойчиво. Включение инверторов Э1 и Э2 позволяет изменить исполнительный уровень входных сигналов, т. е. для входов S и R исполнительным уровнем является "1", а нейтральным "0". Поэтому возможные состояния схемы рис. 18.2 соответствуют таблице рис. 18.1в. Согласно этой таблице состояние входов S = R = 0 является нейтральным и позволяет триггеру сохранять память о последней из поступивших команд. Чтобы изменить состояние выходов триггера, необходимо на вход S или R подать "1". Состояние S = R = 1 недопустимо.
Триггеры по рис. 18.1а и 18.2 переходят в новое состояние сразу после поступления входного сигнала и поэтому называются асинхронными.
Синхронные RS-триггеры.
Во многих устройствах необходимо синхронизировать во времени переключение триггеров. Дело в том, что неодновременное переключение может привести к появлению непредусмотренных состояний устройства и к срыву его работы. Синхронные триггеры имеют дополнительный вход для подачи на него синхронизирующего (тактового) импульса определенной длительности.
Синхроимпульс своим исходным (нулевым) значением блокирует (закрывает) информационные входы S и R. В этом случае триггер не реагирует на входные сигналы, сохраняя предыдущее состояние. Триггер воспринимает информацию на входах, когда значение синхронного импульса равно "1" и переходит в новое состояние на интервале среза синхроимпульса.
Схема синхронного RS-триггера приведена на рис. 18.3а. На рис. 18.3б – его условное обозначение. Во всех случаях, когда С = 0 на выходах элементов Э1 и Э2 уровни
, т. е. нейтральны для элементов Э3 и Э4 не зависимо от состояния входных сигналов S и R. В этом и заключается эффект блокирования входов.
При С = 1 на выходах элементов Э1 и иЭ2 сигналы становятся инверсными по отношению к исходным S и R. Их комбинация вызовет реакцию триггера в соответствии с таблицей рис. 18.1в.
Например:
- если S = R = 0, то
, триггер сохраняет «память» о предыдущем состоянии;
- если S = 1, а R = 0, то
;
, триггер переходит в состояние "1", т. е.
;
- если S = 0, а R = 1, то
, триггер переходит в состояние "0", т. е. 
Пример наглядно показывает, что для входов S, R и С исполнительным уровнем является "1".
Кроме синхронных входов R и S синхронный триггер снабжается асинхронными входами SA и RA. Асинхронные входы позволяют задать триггеру определенное исходное состояние перед началом работы в синхронном режиме. При синхронном управлении триггером на входах SA и RA должен поддерживаться нейтральный уровень, т. е. "1".
JK-триггеры – это универсальные синхронные триггеры. Работа JK-триггера описывается таблицей рис. 18.4а. Входы триггера
. Как и RS-триггер, он сохраняет свое состояние при J = K = 0. Когда J = 1, триггер переходит в состояние
. При R = 1 – в состояние
. При J = K = 1 начальное состояние триггера меняется на противоположное, т. е.
. Это основное отличие JK от RS-триггера.
Условное обозначение JK-триггера показано на рис. 18.4б, а временные диаграммы, поясняющие его работу на рис. 18.4в. Во время действия тактового

| Входы | Прямой выход | |
| J | K |
|
| ||
|
А)
Рис. 18.4
импульса С = 1 на интервале
вход J = 1. Поэтому в момент среза импульса С триггер переходит в состояние Q = 1. На интервале
С = 0. Триггер не воспринимает входную информацию. На интервале второго тактового импульса
вход К = 1. Поэтому в момент t4 триггер переключается: Q = 0. Во время действия третьего синхроимпульса J = 0; K = 0. Поэтому он не меняет своего состояния.
Обычно JK-триггеры снабжаются установочными входами R и S. Эти входы асинхронные. При S = 1 триггер устанавливается в состояние
. При R = 1 –
.
Схема JK-триггеров достаточно сложна и в лекции не рассматривается. Схемное усложнение позволило ликвидировать состояние неопределенности и увеличить число входов J и K (обычно по 3).
Счетный Т-триггер реализует только четвертую строку таблицы рис.18.4а. Таким свойством обладает JK-триггер, когда его входы J = K = 1. При таком включении входов триггер переключается в момент среза каждого тактового импульса. Отсюда следует, что счетный триггер имеет один тактовый вход, который обозначают символом «Т». Обозначение Т-триггера приведено на рис. 18.5а. На рис.18.5б приведены временные диаграммы, поясняющие его работу. Из диаграмм видно, что частота повторения импульсов на выходе триггера Q в два раза меньше частоты повторения импульсов на входе Т, т. е. Т-триггер делит частоту входных импульсов на 2. Счетные триггеры широко применяются в счетчиках, распределителях и делителях частоты.
D-триггер запоминает входную информацию в момент фронта синхроимпульса и хранит ее до следующего тактового импульса. D-триггер может быть выполнен на основе JK-триггера, при включении на входе элемента "НЕ", обеспечивающего условие
. Отсюда следует, что D-триггер имеет тактовый вход С и вход D. Его работа описывается второй и третьей строкой таблицы рис. 18.4а, т. е.
. Поэтому D-триггер является элементом памяти и находит широкое применение, в том числе в регистрах. Условное обозначение D-триггера и временные диаграммы, поясняющие его работу, приведены на рис. 18.6.
В микросхемном исполнении триггеры выпускаются в составе многих серий цифровых интегральных микросхем. Для условного обозначения им присвоены следующие индексы:
RS-триггеры – ТР;
JK-триггеры – ТВ;
D-триггеры – ТМ.
Например, микросхема К555 ТР2 содержит 4 RS-триггера.
Микросхемы К555 ТВ6 и К555 ТВ9 включают в свой состав по два IK триггера каждая. Микросхемы позволяют путем внешних коммутационных изменений получить схемы, выполняющие функции RS, D и Т-триггеров.
Дата добавления: 2015-08-11; просмотров: 1693;

Входы