Основные теоремы алгебры логики.
Теоремы для одной переменной охватывают все операции над переменной x и константами "0" и "1":
1.
2.
3.
4.
| 5.
6.
7.
8.
| 9.
|
Теоремы для двух или более переменных – x и y:
10. Переместительный закон:

11. Сочетательный закон:


12. Распределительный закон:


Доказательство:

Здесь к скобке применена теорема 2.
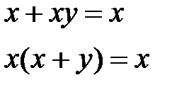
13. Закон поглощения:

Доказательство:

14. 

Доказательство:

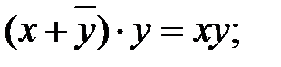
15. Закон склеивания:

Доказательство:

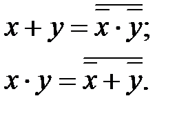
16. Закон отрицания (теорема де-Морана)
|
|
Дата добавления: 2015-08-11; просмотров: 1124;

2.
3.
4.
6.
7.
8.