Мгновенная мощность цепи с RL и С элементами
В общем случае мгновенная мощность определяется произведением тока на напряжение:
. (5.1)
Определим мгновенную мощность для цепи с последовательно включенными R, L и С элементами (рис.3.1). Пусть в этой цепи протекает ток
. (5.2)
Он одинаков для всех элементов цепи.
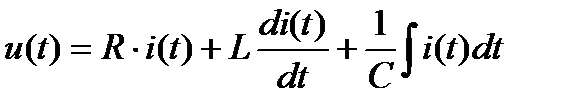
Напряжение цепи определяется суммой падений напряжений на отдельных элементах
. (5.3)
С учетом выражений (1.8) и (1.11) перепишем (5.3):
. (5.4)
Подставляя в (4.4) выражение для i(t) и, решая его, получим

. (5.5)
Теперь, подставляя (5.2) и (5.5) в (5.1) находим выражение для мгновенной мощности цепи рис. 3.1:

. (5.6)
Выражение (5.6) показывает, что мгновенная мощность цепи определяется суммой слагаемых мощностей каждого из элементов. Это требует более детального анализа (5.6).
Дата добавления: 2015-08-11; просмотров: 1230;
