Закон Ома и Кирхгофа
Все электрические цепи подчиняются законам Ома и Кирхгофа. Краткая информация об этих законах заключается в следующем.
Закон Ома для участка цепи без ЭДС устанавливает связь между током и напряжением на этом участке
или
(1.14)
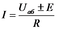
Закон Ома для участка цепи, содержащего ЭДС, позволяет найти ток этого участка
. (1.15)
здесь а, б - крайние точки участка; Е - значение ЭДС.
В (1.15) знак «плюс» ставится при совпадении тока, протекающего по участку, с направлением ЭДС.
Первый закон Кирхгофа имеет две формулировки.
1. Сумма токов протекающих через любой узел равна нулю.
2. Сумма токов втекающих в узел равна сумме токов вытекающих из него.
Второй закон Кирхгофа:
Алгебраическая сумма падений напряжения в любом замкнутом контуре равна алгебраической сумме ЭДС вдоль этого контура, т.е.
åIR = åE.
В каждую из сумм слагаемые входят со знаком «плюс», если они совпадают с направлением обхода.
Дата добавления: 2015-08-11; просмотров: 753;
