Приемники электрической энергии
Приемники электрической энергии делятся на пассивные и активные.
Пассивными называют приемники в которых под действием приложенного напряжения не возникает ЭДС. Вольтамперные характеристики пассивных приемников проходят через начало координат. При отсутствии напряжения ток этих элементов равен нулю. Основной характеристикой пассивных элементов является сопротивление. Пассивные элементы, сопротивление которых не зависит от приложенного напряжения, называются линейными. Реально таких элементов не существует. Но весьма близки к ним резисторы, реостаты, лампы накаливания и др. Зависимость напряжения от тока в таких элементах определяется законом Ома, т.е. U = IR, где R - сопротивление элемента. Эта зависимость не меняется, если напряжение и ток - переменные.
К приемникам электрической энергии относятся емкостные и индуктивные элементы. Основной параметр емкостного элемента - емкость С. Единица измерения - Фарада [Ф]. При постоянном напряжении, приложенном к емкости, на ее обкладках накапливается заряд
. (1.5)
Ток через емкость не протекает. Это означает, что сопротивление емкости в цепи постоянного тока равно бесконечности. Если к емкости приложено переменное напряжение u(t), то и заряд на ее обкладках становится переменным
. (1.6)
В этом случае в цепи возникает ток
. (1.7)
Выражение (1.7) позволяет определить падение напряжения на емкости, если в цепи протекает переменный ток.
. (1.8)
Очевидно, что сопротивление емкостного элемента переменному току определяется законом Ома, но зависит не только от величины, но и от формы тока и напряжения.
Основным параметром индуктивного элемента является индуктивность - L. Единица измерения - Генри [ Гн ]. Если через индуктивность L протекает постоянный ток I, то в ней возникает постоянное во времени потокосцепление самоиндукции
. (1.9)
Будем полагать, что элемент L идеальный, т.е. сопротивление витков r отсутствует. Очевидно, что при этом падение напряжения на элементе равно нулю.
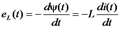
Предположим, что индуктивный элемент подключен к источнику переменного тока i(t). Потокосцепление также будет переменным y(t) = L×i(t). Изменяющееся потокосцепление наводит в катушке ЭДС самоиндукции
. (1.10)
Так как r = 0, то ЭДС еL(t) уравновешивает напряжение, приложенное к индуктивности
. (1.11)
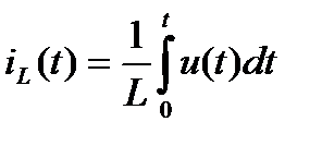
Выражение (1.11) позволяет определить ток индуктивности, если известно приложенное к ней напряжение u(t).
. (1.12)
Кроме пассивных ,в электротехнике применяются активные приемники. К ним относятся электродвигатели, аккумуляторы в процессе их заряда и др. В цепи переменного тока при определенных условиях роль активных элементов выполняют индуктивность и емкость. В активных элементах возникает противо - ЭДС Е. Приложенное к приемнику напряжение уравновешивается противо-ЭДС и падением напряжения на сопротивлении элемента, т.е.
. (1.13)
Дата добавления: 2015-08-11; просмотров: 1397;
