Индивидуальный индекс цен
Характеризует динамику цены товара или услуги и определяется по формулам:
(базисный индекс);
(цепной индекс),
где
- цена товара в предыдущем периоде;
- цена товара в текущем периоде;
- цена товара в периоде, который принят за базу сравнения
Для изучения изменения цен по однородным видам товаров используют субиндексы.
Субиндексы (неоднородные группы товаров):
· Индекс Дюто – отношение суммы цен товаров в отчетном периоде к сумме цен тех же товаров в базисном периоде. Определяется по формуле 
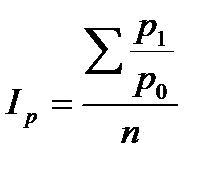
· Индекс Карли:
,или
,
где
- объем продукции
· Средний геометрический индекс (Джевонса):
,
где n – число индивидуальных индексов или число товаров.
Дата добавления: 2015-08-11; просмотров: 3206;
