Инфляция
В условиях развития товарного производства и бумажно-денежного обращения в экономике появляется явление, называемое инфляцией.
Инфляционные процессы обесценивают денежные средства и влияют на потерю ими своих функций, проявляющихся в долговременном повышении цен на товары и услуги, нарушении функционирования денежно-кредитной и финансовой системы.
Инфляция – это обесценивание бумажных денег и безналичных денежных средств, сопровождающееся ростом цен на товары и услуги в экономике, падением уровня реальной заработной платы, неудовлетворенностью платежеспособного спроса населения, связанное с нарушением финансирования.
Для общей характеристики уровня инфляции в статистике используют два основных показателя:
-дефлятор валового внутреннего продукта (ДВВП);
-индекс потребительских цен (ИПЦ).
Индекс потребительских цен (ИПЦ):
Определяется по следующей схеме:
1) вычисляются индивидуальные индексы цен на товара (услуги) по городу или району:
,
где
,
- средние сопоставимые цены отчетного и предыдущего периода, рассчитанные по конкретному товару(услуге) по формуле:

где
- сумма зарегистрированных цен в разных торговых точках; n – число зарегистрированных торговых точек;
2) на основе индивидуальных индексов цен по городам, районам и территориальных весов(удельный вес численности населения обследуемой территории в общей численности населения России на начало года) определяются агрегатные индексы цен отдельных товаров, товарных групп и услуг в целом по региону, экономическому району, стране;
3) затем исходя из агрегатных индексов по товарам и услугам в целом по региону, экономическому району, России и доли расходов на их приобретение в потребительских расходах населения определяются сводные индексы цен в целом по группам продовольственных, непродовольственных товаров и услуг, а также ИПЦ по региону, экономическому району и России в целом.
В качестве формулы для расчета сводного ИПЦ используется модифицированная формула Ласпейреса:

где
- цена j-го товара в базисном периоде;
- цена j-го товара в периоде n;
- количество j-го товара в базисном периоде;
- расходы на j-ый товар в базисном периоде.
Расчет ИПЦ осуществляется ежемесячно к предыдущему месяцу, а также нарастающим итогом с начала года к соответствующему периоду предыдущего года.
Индекс – дефлятор ВВП (ДВВП):
Может быть определен следующими способами:
- с помощью агрегатной формулы Пааше –
Iдеф=
=
;
- косвенным методом –
= 
- на основе уравнения обмена количественной теории денег –
,
где
- индекс изменения денежной массы;
- индекс изменения скорости обращения денег;
- индекс изменения товарной массы
Показатели динамики инфляции:
1) Размер инфляции служит для характеристики темпа прироста цен в результате инфляционных процессов. Определяется по формуле P=(I
- I)*100
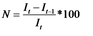
2) Норма инфляциислужит основным показателем динамики инфляции. определяется по формуле
,
где
,
- индексы цен смежных периодов
Показатель уровня и динамики инфляцииопределяется по формуле
, где
- денежные доходы населения
3) Индекс инфляции
,
где
- темп роста цен;
- темп роста денежной массы;
- темп изменения скорости обращения денежной массы;
- темп изменения количества товаров и услуг
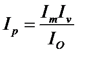
4) Индекс покупательной способности денег 
Дата добавления: 2015-08-11; просмотров: 1531;
