Статистика цен, тарифов и инфляций.
3.2.1. Понятие «цена». Виды цен на товары и услуги.
3.2.2. Индексы цен.
3.2.3. Инфляция.
3.2.1. Понятие «цена». Виды цен на товары и услуги.
Цена – это выражение стоимости товара на денежных единицах определенной валюты, национальной или между народной за количественную единицу товара.
Задача статистики цен:
1) анализ состояния рынка и ценовой конъюнктуры; отслеживание поведения цен
2) изучение цен их динамики и дифференциации по отдельным рынкам и регионам
3) анализ цен фактора уровня жизни и инфляционных процессов
4) анализ цен, с т.з. производителя, потребителя и государства для выявления структуры цен доли в ней налогов пропорциональности развития экономики
5) изучение цен для сопоставлений
6) анализ и оценка факторов, влияющих на уровень колеблемость цен
7) выявление соотношений цен на различные товары
8) совершенствование методологией статистического наблюдения за уровнем и динамикой потребительских цен
Виды цен:
1) розничные цены
2) оптовые цены
3) закупочные цены
4) цены на строительную продукцию
5) цены и тарифы грузовых и пассажирских транспортов
6) цены и тарифы на коммунальные и бытовые услуги
7) цены, обслуживающие внешне – торговый оборот
Существуют свободные цены (рыночные цены, складывающиеся под воздействием спроса и предложения) и государственные цены (фиксированные цены, регулируемые, цены и предельные цены).
Уровень цен характеризуется абсолютным, средним и относительным показателями.
Различают инновационный и средний уровень цен. Индивидуальный уровень цен – это абсолютная величина цены в денежном выражении за единицу конкретного товара на рынке. Средний уровень цен – это обобщающий показатель уровня цен, определяющий по однородным группам товаров во времени и в пространстве.
Средняя цена за единицу товара – обобщенная характеристика для однородных товарных групп.
Средние цены исчисляются за определенный период времени, по территории.
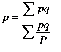
Средние величины для расчета средней цены за единицу товара и услуги:
- Средняя арифметическая взвешенная (в качестве весов используются показатели количества товаров в натуральном выражении или доли каждого товара в общем объеме товаров):
, или
,
где p – цена товара,
q – количество товара;
d – удельный вес каждого вида товара в общем объеме товаров
- Средняя хронологическая простая (применяется в том случае, если моменты времени регистрации равноудалены друг от друга):
,
Где n – число месяцев или дней в периоде
- Средняя хронологическая взвешенная применяется в том случае, если даты регистрации распространены неравномерно:
,
где
- средняя цена за период;
- число месяцев или дней в периоде
- Средняя гармоническая взвешенная (в качестве весов используются данные о товарообороте):
,
где pq – товарооборот в денежном выражении
Изучение состава и структуры цен позволяет проанализировать пропорции между элементами цены, выявить долю каждого звена в цепи товародвижения, регулирующую роль государства.
· Удельный вес составляющих элементов в цене (себестоимости, наценок, скидок, налогов, др.):
Определяется по формуле d =
, где x – размер отдельного элемента цены
· Коэффициент соотношения оптовых и розничных цен:
Определяется по формуле
, где
ОЦ – оптовые цены,
РЦ – розничные цены
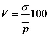
· Коэффициент Гатева:Используется для оценки интенсивности изменения структуры цены за счет отдельных элементов. Определяется по формуле
,
где V
, V
- относительные показатели структуры цены изучаемых товаров или одного товара в отчетном и базисном периодах.
· Индекс Салаи:Определяется по формуле
Для изучения вариации цен используются традиционные методы анализа, основанные на вычислении показателей вариации
Показатели вариации цен:
· Размах вариации: R = Pмакс – Pмин
где Pмакс – максимальная цена; Pмин - минимальная цена
· Среднее линейное отклонение цен от средней:
,или 
· Среднее квадратическое отклонение:
,или 
· Коэффициент вариации цен: 
Если в результате анализа вариации цен установлен факторный признак, влияющий на уровень цен, то анализ ее вариаций дополняют расчетом коэффициентов эластичности.
Эмпирический коэффициент эластичности:Отражает процентные изменения цены в результате увеличения факторного признака на 1%. Определяется по формуле Э =
, где
p – Абсолютные приросты факторного признака и цены;
x, p – базовые значения факторного признака и цены соответственно
Теоретический коэффициент эластичности:Определяется по формуле
Э =
,
- темп прироста величины спроса на товар под влиянием повышения цен;
- темп прироста цен
Коэффициент перекрестной эластичности цен: Определяется по формуле
Э =
,
,
,
,
- цены товаров i-го и j-го видов соответственно в текущем и базисном периодах.
Показатели уровня цен являются основной для расчета показателей соотношений цен на важнейшие виды продуктов. Динамика показателей соотношения цен позволяется оценить состояние конъюнктуры отдельных товарных рынков.
Коэффициент соотношений:Определяется по формуле
,
где
,
- цены изучаемого и базового товара.
Цена базового товара выбирается на основе его потребительской роли или гипотезы о его влиянии на цены других товаров.
Среднее линейное отклонение цен на товары:Определяется по формуле
, или

где n – число товаров;
,
(
,
) – коэффициенты соотношений цен в текущем и базовом периодах (коэффициенты соотношения цен изучаемого и базового товаров фактические и эталонные)
Региональная вариация цен для каждого товара: Вычисляется по формуле
,
Затем эта оценка обобщается по совокупности товаров по формуле

Колеблемость цен по совокупности товаров в каждом регионе:

Далее эта оценка обобщается на все регионы по формуле
,
где
- доля региона в общем объеме розничного товарооборота.
Дата добавления: 2015-08-11; просмотров: 2324;
