Основное уравнение МКТ идеальных газов.
Основное уравнение МКТ связывает параметры состояния газа с характеристиками движения его молекул. Давление газа на стенки сосуда есть следствие бесчисленных столкновений молекул газа со стенками. Средняя сила, возникающая от
|
|
|
|
|
|
| Рис. 2 |
|
|
|
Представим себе сосуд в виде прямоугольного параллелепипеда, в котором содержится идеальный газ (рис.2).Вычислим давление газа на одну из стенок сосуда площадью S.
Рассмотрим удар одной молекулы, которая до удара двигалась ^ стенке. Согласно закону сохранения импульса

,
изменение импульса вследствие удара одной молекулы.
За время Dt площадки S достигнут только те молекулы, которые заключены в объеме параллелепипеда с основанием S и высотой
. Необходимо учитывать, что реально молекулы движутся к площадке S под разными углами. Для упрощения расчетов хаотическое движение молекул заменяют движением вдоль трёх взаимно перпендикулярных направлений, так что вдоль каждого из них движется 1/3 молекул, причем половина молекул (1/6) движется вдоль данного направления в одну сторону, половина - в противоположную.

концентрация молекул, их число в единице объема.
За время Dt изменение импульса стенки составит

Т.к. 
- сила, с которой молекулы воздействуют на стенку,
а давление, обусловленное этой силой, т.е. давление газа

Если в объеме V содержится N молекул, движущихся со скоростями
, то целесообразно рассматривать среднюю квадратичную скорость, характеризующую всю совокупность молекул газа.

- основное уравнение МКТ

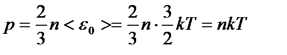
где
- средняя кинетическая энергия поступательного движения одной молекулы.
Поскольку 

Сопоставим уравнение Менделеева-Клапейрона и уравнение МКТ.
,
,
,
,
где
- постоянная Больцмана;
.
Абсолютная температура есть мера средней кинетической энергии молекул.
Получим ещё одно выражение для давления:
.
Дата добавления: 2015-08-11; просмотров: 1397;
