Усилия в витке, катушке и между катушками
а) ЭДУ в витке.Сила, действующая в витке, направлена по радиусу; с ростом радиуса возрастет индуктивность, а следовательно, электромагнитная энергия проводника. Выражение имеет вид
.
Сила
приложена к окружности длиной
. При расчете электродинамической стойкости необходимо знать силу
, разрывающую виток.
.
Если круговой виток находится в равномерном магнитном поле, создаваемом другими проводниками, то кроме внутренних сил, возникает дополнительная сила в результате взаимодействия тока витка с внешним полем.
б) ЭДУ в катушке.Электродинамические силы в цилиндрической катушке направлены таким образом, чтобы возрастало ее потокосцепление. Поэтому при прохождении тока в обмотке возникают силы, стремящиеся сжать обмотку по высоте и толщине и увеличить диаметр. Для расчета сил, действующих в различных точках катушки, определяют индукцию в этих точках и используют рассмотренные выше уравнения.
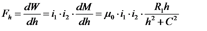
в) ЭДУ между витками и между катушками.Сила, действующая между витками и катушками:
вертикальная составляющая:
,
где R - радиус витка 1;
h - расстояние между витками 1 и 2 ;

горизонтальная составляющая:
.
Для расчета сил, действующих между цилиндрическими катушками, удобно пользоваться энергетической формулой
.
Дата добавления: 2015-08-11; просмотров: 1111;
