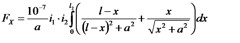
Усилия между параллельными проводниками
Сила взаимодействия между проводником
и элементом
, где x – координата на проводнике
имеет выражение
,
где:
- длина первого проводника;
- длина второго проводника;
- токи, протекающие по проводникам
и
;
а - расстояние между проводниками
и
.
Если
, то
.
Произведение

зависит только от размеров проводников и их расположения. Тогда
.
Если расстояние между проводниками значительно меньше их длины, т.е.
, то
можно принять равным
. При
расчет ведется по формуле

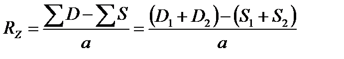
Для двух параллельных проводников разной длины, расположенных с любым сдвигом,
,
где:
- сумма диагоналей трапеции, построенной на взаимодействующих проводниках;
- сумма боковых сторон этой трапеции.
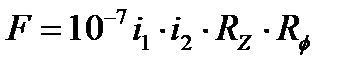
Форма сечения проводника влияет на электродинамическую силу
,
где
- коэффициент формы.
Дата добавления: 2015-08-11; просмотров: 1184;
