Усилия при наличии ферромагнитных частей
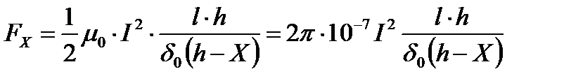
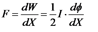
Сила определится для проводника с током вблизи ферромагнитной стенки, по формуле
.
Сила, действующая на проводник (дугу),симметрично расположенный в пазу клиновидного сечения, равна
,
где:
- зазор, соответствующий координате X.
Дата добавления: 2015-08-11; просмотров: 1050;
