Занятие №50. Непрерывные случайные величины. Числовые характеристики непрерывных случайных величин. Законы распределения непрерывной случайной величины
№1. Случайная величина
задана функцией распределения

Найти: а)
; б)
; в) построить графики 
Примечание:


№2. Случайная величина
задана функцией распределения

Найти: а)
; б) 
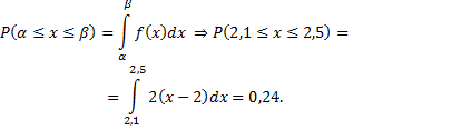
Примечание: а)так как
и
задана на промежутке





б)

№3. Случайная величина
все возможные значения которой принадлежат интервалу
задана в этом интервале плотностью распределения вероятностей
Найти коэффициент 
Примечание:

№4. Дана функция
Найти значения постоянного множителя
при котором эта функция могла бы характеризовать плотность распределения вероятностей случайной величины
при условии, что все возможные значения величины
находятся на интервале 
Примечание: необходимо найти
при котором выполняются свойства функции плотности распределения вероятностей появления случайной величины 
Если
то


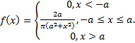
№5. Случайная величина задана плотностью распределения

Найти коэффициент 
№6. Случайная величина задана функцией распределения

Найти плотность распределения.
Дата добавления: 2015-08-11; просмотров: 1336;
