Нормальное уравнение прямой.

где
— длина перпендикуляра, опущенного на прямую из начала координат, а
— угол (измеренный в положительном направлении) между положительным направлением оси
и направлением этого перпендикуляра. Если
, то прямая проходит через начало координат, а угол

задаёт угол наклона прямой.
Вывод нормального уравнения прямой.
Пусть дана прямая
,тогда

Рассмотрим для этого перпендикуляра его орт 
Допустим, что угол между
и осью
равен
Так как
,
то можно записать
. Теперь рассмотрим произвольную точку
. Проведем радиус-вектор
, найдем проекцию
на вектор
.

следовательно,

это и есть нормальное уравнение прямой.
Пусть дана прямая L. Тогда
и
. Рассмотрим для этого перпендикуляра его орт
. Допустим что угол между
и осью X равен θ. Так как
, то можно записать:
. Теперь рассмотрим произвольную точку
. Проведем радиус-вектор
Теперь найдем проекцию
на вектор
.
следовательно:
Это и есть нормальное уравнение прямой ■
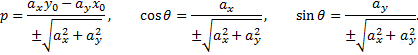
Если прямая задана общим уравнением
,
то отрезки
и
, отсекаемые ею на осях, угловой коэффициент
, расстояние прямой от начала координат
,
и
выражаются через коэффициенты
следующим образом


Во избежание неопределённости знак перед радикалом выбирается так, чтобы соблюдалось условие
. В этом случае
и
являются направляющими косинусами положительной нормали прямой — перпендикуляра, опущенного из начала координат на прямую. Если
, то прямая проходит через начало координат и выбор положительного направления произволен.
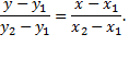
Уравнение прямой, проходящей через две заданные несовпадающие точки
и 

или

Векторно-параметрическое уравнение прямой задается вектором
конец которого лежит на прямой и направляющим вектором прямой
. Параметр
пробегает все действительные значения

Параметрические уравнения прямой могут быть записаны в виде

где
— произвольный параметр,
— координаты
и
направляющего вектора прямой, при этом


Смысл параметра
аналогичен смыслу параметруа в векторно-параметрическом уравнении.
Каноническое уравнение получается из параметрических уравнений делением одного уравнения на другое




где
— координаты
и
направляющего вектора прямой,
и
координаты точки, принадлежащей прямой.
Дата добавления: 2015-08-11; просмотров: 1267;
