Лекция 13 ПРИНЦИП ДАЛАМБЕРА
Силы инерции точки и системы. Приведение сил инерции твердого тела
к простейшему виду в зависимости от формы движения тела.
Динамические реакции
Методы решения задач механики, которые до сих пор рассматривались, основаны на законах Ньютона или на теоремах, из них вытекающих. Однако можно получить решение задач, положив в основу другие общие положения, называемые принципами механики. В некоторых случаях они позволяют найти более эффективное решение, например, использование принципа Даламбера.
Пусть на материальную точку массой m действует система активных сил с равнодействующей
и реакция связи
. Под действием этих сил точка будет двигаться по отношению к системе отсчета с ускорением
. Введем величину
и назовем ее силой инерции.
Если в любой момент времени к действующим на точку активным силам и реакции связи присоединить силу инерции, то полученная система будет уравновешенной:
.
Это принцип Даламбера для материальной точки (начало Даламбера). Очевидно, что он эквивалентен второму закону Ньютона:
.
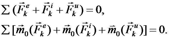
Рассмотрим механическую систему, состоящую из n материальных точек. Возьмем точку системы массой mk. Под действием приложенных к ней внешних и внутренних сил точка будет двигаться с ускорением
. Введем силу инерции и сформулируем принцип Даламбера для механической системы.
Если в любой момент времени к каждой из точек системы, кроме действующих на нее внешних и внутренних сил, присоединить соответствующие силы инерции, то полученная система будет уравновешенной и к ней можно применять все уравнения статики:

Значение принципа Даламбера состоит в том, что при решении задач динамики уравнения движения системы составляются в виде простых уравнений равновесия (статики):

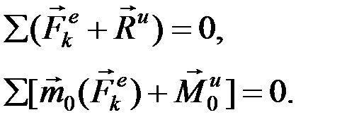
Введем обозначения:
– главный вектор сил инерции системы,
– главный момент относительно центра инерции О.
Учитывая, что сумма внутренних сил и их моментов равна нулю, получим:

В проекции на координатные оси эти уравнения аналогичны уравнениям статики.
Дата добавления: 2015-08-08; просмотров: 995;
