Дифференциальные уравнения движения точки
Из кинематики известно, что в прямоугольных декартовых координатах движение точки задается уравнениями:
x = f1 (t), y = f2 (t), z = f3 (t).
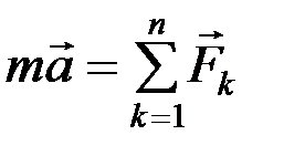
Рассмотрим материальную точку, движущуюся под действием сил F1, F2 ... Fn. Проецируем равенство
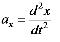
на оси x, y, z. Учитывая, что
,
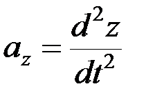
,
, получим
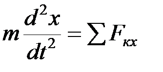
,
,
.
Это и есть дифференциальные уравнения движения точки в декартовых координатах. Силы в правых частях уравнений в общем случае могут зависеть от координат x, y, z, от скоростей
или от времени t.
Дата добавления: 2015-08-08; просмотров: 875;
