Связь плотности тока и скорости упорядоченного движения зарядов
| За время dt через площадку dS пройдут заряды, отстоящие от нее не дальше чем на vdt. Заряд dq, прошедший за dt через dS:
,
где q0 - заряд одного носителя; n - число зарядов в единице объема; dS·v·dt - объем.
|
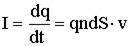
Сила тока:
.
Плотность тока (10.2):
.
Вектор
направлен как и вектор
.
10.3. ЭДС источника
Для поддержания постоянного замкнутоготока при наличии сил, тормозящих движение носителей, необходимо компенсировать носителям заряда потери энергии, т.е. совершать над ними работу.
Работа электростатического поля (9.6.2) по замкнутой траектории:
.
φ1 = φ2, если траектория замкнута.
Следовательно, эту работу должны совершать силы неэлектрического происхождения, сторонние силы.
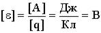
ЭДС - это
.
где q - заряд, над которым сторонние силы совершили работу Aст.сил.
.
Единица ЭДС - такая же, как и единица потенциала - вольт.
Дата добавления: 2015-08-08; просмотров: 2725;

,
где q0 - заряд одного носителя; n - число зарядов в единице объема; dS·v·dt - объем.