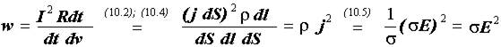
Закон Джоуля-Ленца в дифференциальной форме

Количество тепла, выделяемое в элементарном объеме с сопротивлением R при прохождении тока I в течении времени dt:
| Найдем |
| - | закон Джоуля-Ленца. |
| - | плотность мощности. |

| - | закон Джоуля-Ленца в дифференциальной форме. |
См. (10.2), (10.4), (10.5).
Дата добавления: 2015-08-08; просмотров: 1167;
