Плотность энергии электрического поля в вакууме

В случае неоднородного поля:
,
и энергия электрического поля в объеме V:
.
9.12.2. Энергия заряженного конденсатора
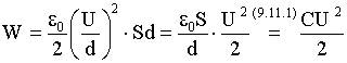
Энергия электрического поля плоского конденсатора, как следует из (9.12), равна
,
здесь V=Sd - объем конденсатора.
Из (9.7) для однородного поля следует, что
,
здесь разность потенциалов φ1 - φ2 обозначена буквой U. В результате для энергии электрического поля получим:
.
Эта формула верна для конденсаторов любой формы. Таким образом, энергия заряженного конденсатора:
.
здесь
С - емкость конденсатора,
U - разность потенциалов на его обкладках.
Дата добавления: 2015-08-08; просмотров: 973;
