Электроемкость конденсатора. Конденсатор - это два проводника, обычно плоской цилиндрической или сферической формы, расположенные на небольшом расстоянии друг от друга
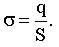
Конденсатор - это два проводника, обычно плоской цилиндрической или сферической формы, расположенные на небольшом расстоянии друг от друга. Проводники, обкладки конденсатора , заряжают разноименными зарядами, равными по абсолютной величине:
.
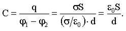
Емкость конденсатора:
.
9.11.1. Электроемкость плоского конденсатора
Плоский конденсатор - это две плоские пластины расположенные на небольшом
расстоянии друг от друга.
Поле плоского конденсатора было рассмотрено в разделе (9.4.4.2.)
| По (9.7): по (9.4.4.2): по (9.4.4.1):
|
Из (9.11):

Дата добавления: 2015-08-08; просмотров: 719;

по (9.4.4.2):
по (9.4.4.1):