Вычисление пройденного пути
Для равномерного движения
,
- весь путь,
- весь отрезок времени,
- const.

Для произвольного движения:
.

v1 в течение отрезка Δti приблизительно постоянны, если Δt достаточно мало.
В пределе:
,
т.е. путь - это определенный интеграл от модуля скорости по времени.
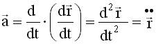
3.10. Ускорение - это производная скорости по времени.
или 
Учитывая (3.8), получим:

Ускорение - вторая производная радиуса-вектора по времени. Производную по времени от какой-либо величины называют скоростью изменения этой величины.
Ускорение - это скорость изменения скорости.
Дата добавления: 2015-08-08; просмотров: 1600;
