Эффект Доплера для звуковых волн
Пусть источник, находящийся в газе или жидкости, испускает короткие импульсы с частотой ν. Если источник и приемник покоятся относительно среды, в которой распространяется волна, то частота воспринимаемых приемником импульсов будет равна частоте ν источника. Если же источник, или приемник, или оба движутся относительно среды, то частота ν', воспринимаемая приемником, вообще говоря, оказывается отличной от частоты источника: ν' ¹ ν. Это явление называют эффектом Доплера.
Сначала рассмотрим случай, когда источник S и приемник P движутся вдоль проходящей через них прямой с постоянными скоростями u и u' соответственно (относительно среды).
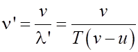
Если бы двигался только источник навстречу приемнику, испуская импульсы с периодом T = 1/ν, то за это время очередной импульс пройдет относительно среды расстояние λ = v∙T, где v — скорость волн в среде, и пока будет испущен следующий импульс, источ
ник «нагонит» предыдущий импульс на расстояние uT. Таким образом, расстояние между импульсами в среде станет равным λ' = vT – uT (рис.), и воспринимаемая неподвижным приемником частота (число импульсов за единицу времени)
.
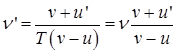
Если же движется и приемник (пусть тоже навстречу источнику, то импульсы относительно приемника будут иметь скорость v + u', и число воспринимаемых за единицу времени импульсов
.
Нетрудно сообразить, что при движении как источника, так и приемника в противоположных направлениях, знаки перед u' и u надо поменять на обратные. Еще раз подчеркнем, что скорости u' и u — это скорости приемника и источника относительно среды.
Как видно из приведенных рассуждений, эффект Доплера является следствием «уплотнения» (или разряжения) импульсов, обусловленным движением источника и приемника.
Формулу целесообразнее записать в иной форме, более общей и более простой для запоминания и использования:
u'x и ux – проекции скоростей приемника и источника на ось X, проходящую через них и положительное направление которой совпадает с направлением распространения импульсов, т. е. от источника S к приемнику P.
Прежде чем продолжить обсуждение возможностей выражения (1.60), приведем два простых примера.
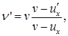
Пример 1. Источник S и приемник P удаляются друг от друга по одной прямой в противоположные стороны относительно среды со скоростями u и u'. Частота источника ν, скорость сигналов в среде v. Найдем частоту v', воспринимаемую приемником.
В данном случае проекция скорости приемника на ось X есть u'х = u', а проекция скорости источника ux = -u. Подставив эти величины в формулу (1.60), получим
ν' = ν (v - u')/(v + u).
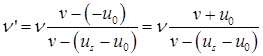
Пример 2. Источник S, испускающий сигналы с частотой ν, движется с постоянной скоростью us относительно приемника P, установленного на
башне (рис.). При этом воздушная масса перемещается относительно земной поверхности вправо с постоянной скоростью u0 (ветер). Скорость звука в воздухе v. Найдем частоту v', воспринимаемую приемником.
Имея в виду, что в формулу входят скорости относительно среды, запишем: проекция скорости приемника u'х = – u0, а проекция скорости источника uх = us – u0. Обе проекции взяты, как должно быть, на ось X, направленную вправо. Остается подставить эти проекции в формулу (1.60), и мы получим:
Дата добавления: 2015-08-08; просмотров: 1283;
