Анализ показателей эффективности использования основных фондов.
Статистический анализ использования основных фондов осуществляют при помощи показателей фондоотдачи и фондоемкости.
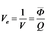
· Фондоотдача
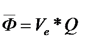
Представляет собой отношение годового объема произведенной продукции (ВВП,ВДС) (Q) к среднегодовой стоимости основных фондов (
):
,
Определяет выпуск продукции в расчете на один рубль стоимости основных фондов.
Фондоотдача показывает, сколько продукции получено с каждого рубля вложенного в основные фонды. Чем лучше используются основные фонды, тем выше показатель фондоотдачи.
Повышение степени использования основных фондов – это важный источник увеличения объема продукции и экономии капитальных затрат: Q=V*
.
Фондоемкость продукции – обратный показатель фондоотдачи:

Характеризует стоимость основных производственных фондов, приходящаяся на 1 руб. произведенной продукции. он позволяет определить потребность в основных фондах для выпуска определенного объема продукции:
. Чем ниже этот показатель, тем эффективнее.
Статистический анализ показателя фондоотдачи и факторов на него влияющих, осуществляется с помощью индексного метода.
Определяется системой индексов: индексом переменного состава, индексом постоянного состава и индексом структурных сдвигов.
Индекс переменного состава характеризует увеличение или уменьшение средней фондоотдачи по группе организаций в результате изменения фондоотдачи в каждой организации и доли основных фондов каждой организации в общей стоимости основных фондов группы:
,
или
,
где
,
- среднегодовая стоимость основных фондов в отчетном и базисном периодах;
,
- фондоотдача в отчетном и базисном периодах;
,
- показатели структуры основных фондов в отчетном и базисном периодах:
и
.
Индекс постоянного состава характеризует изменение средней фондоотдачи в результате влияния только одного фактора – изменения фондоотдачи на отдельных предприятиях группы:
,
.
Индекс структурных сдвигов характеризует влияние изменения доли организаций с разной величиной основных фондов в общем объеме основных фондов на величину средней фондоотдачи:
,
или 
Абсолютное изменение средней фондоотдачи:

за счет следующих факторов:
- изменения фондоотдачи на отдельных предприятиях;
,
- изменения доли организаций с разной величиной основных фондов в общем объеме основных фондов

Применяется система индексов:

.
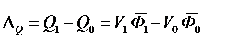
Абсолютное изменение объема продукции:
,
в том числе:
- за счет изменения фондоотдачи:

- за счет изменения среднегодовой стоимости основных фондов:

1.1.5. Понятие оборотных средств (оборотного капитала), система показателей наличия и использования оборотных средств.
Оборотные средства также являются важной частью нефинансовых произведенных активов национального богатства.
Оборотные средства(оборотный капитал, текущие активы) – наиболее мобильная и постоянно возобновляемая часть национального богатства.
Основные признаки оборотного капитала:
- участвуют в одном производственном цикле;
- переносят свою стоимость на вновь созданный продукт или услугу полностью;
- видоизменяют свою натурально-вещественную форму.
Оборотные средства – это вложение финансовых ресурсов в объекты, использование которых осуществляется в рамках одного воспроизводственного цикла, либо в течение относительно короткого времени не более года.
Рассмотрим состав и классификацию оборотных средств.
Таблица 7
Дата добавления: 2015-08-11; просмотров: 2145;
