Система показателей наличия и использования оборотных средств
| Показатель | Методика расчета и содержание показателя |
| Средние показатели оборотного капитала | Рассчитываются на дату или период по формулам:
- средняя арифметическая простая:
,
где , - остатки оборотных средств соответственно на начало и конец года:
- средняя хронологическая:
где n – число периодов:
- средняя арифметическая взвешенная (при неравных интервалах):
,
где - оборотный капитал i-го периода;
- длина i-го периода (временной промежуток, в течение которого остаток оборотных средств оставался без изменения)
|
| Продолжение таблицы 8 | |
| Коэффициент оборачиваемости оборотных средств (число оборотов) | Определяется по формуле ,
где РП – объем реализованной продукции;
- средний остаток оборотных средств.
Показывает, сколько раз обернулся средний остаток оборотного капитала за период.
|
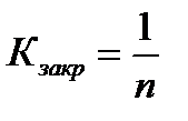
| Коэффициент закрепления оборотных средств | , или .
Показывает средний размер стоимости оборотных средств, приходящихся на 1 руб. реализованной продукции.
|
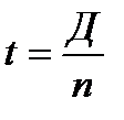
| Средняя продолжительность одного оборота оборотных средств | , или
где Д – число календарных дней в периоде.
|
| Сумма средств, высвобожденных в результате ускорения оборачиваемости оборотных средств | ,
или
|
| Коэффициент обеспеченности собственными оборотными средствам | обесп
Показывает, на сколько необходимые для организации запасы и затраты обеспечиваются собственными оборотными средствами
|
| Продолжение таблицы 8 | |
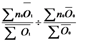
| Относительное и абсолютное изменение средней оборачиваемости оборотных средств | Определяется системой индексов: индексом переменного состава, индексом постоянного состава и индексом структурных сдвигов:
I пер. сост = ,
или
I пер. сост = ;
I пост. сост = ,
или
I пост. сост = ;
I стр.сдв.= ,
или
I стр.сдв= ,
Где n1, n2-число оборотов оборотных средств в отчетном и базисном периодах;
- средние остатки оборотных средств в отчетном и базисном периодах;
d1,d0- показатели структуры средних остатков оборотных средств в
|
| Продолжение таблицы 8 | |
отчетном и базисном периодах
d1= и d0=
Абсолютное изменение средней оборачиваемости оборотных средств:
за счет следующих факторов:
· Числа оборотов оборотных средств-
;
· Структуры средних остатков оборотных средств-
| |
| Относительные и абсолютные изменения средней продолжительности одного оборота оборотных средств | Определяется системой индексов: индексом переменного состава, индексом постоянного состава и индексом структурных сдвигов:
Iпер. сост.= ,
или
Iпер. сост= ;
Iпер. сост.=
или
|
| Продолжение таблицы 8 | |
Iпост. сост= ;
I стр.сдв..= ,
или
Iстр.сдв.= ;
Где m1, m0- однодневный объем реализованной продукции в отчетном и базисном периодах;
d1, d2-показатели структуры однодневного объема реализованной продукции в отчетном и базисном периодах.
d1= и d0= ,
Абсолютное изменение средней продолжительности одного оборота оборонных средств:
За счет следующих факторов:
· Продолжительности одного оборота оборотных средств-
· Структуры однодневного объема реализованной
| |
| Продолжение таблицы 8 | |
· продукции-
| |
| Сумма средств, высвобожденных в результате ускорения оборачиваемости оборотных средств | Определяется по формуле
t1-t0) ,
или
Кзакр 1-К закр.0)* РП1
|
При планировании потребности в оборотных средствах применяются три метода:
1) аналитический метод (предполагает определение потребности в оборотных средствах в размере их средне фактических остатков с учетом роста объема производства)
2) коэффициентный метод (запасы и затраты подразделяются на зависящие от изменения объемов производства и независящие от него)
3) метод прямого счета (предусматривает обоснованный расчет запасов по каждому элементу оборотных средств с учетом всех изменений в уровне организационно-технического развития организации).
Дата добавления: 2015-08-11; просмотров: 1125;

,
где
,
- остатки оборотных средств соответственно на начало и конец года:
- средняя хронологическая:
где n – число периодов:
- средняя арифметическая взвешенная (при неравных интервалах):
,
где
- оборотный капитал i-го периода;
- длина i-го периода (временной промежуток, в течение которого остаток оборотных средств оставался без изменения)
,
где РП – объем реализованной продукции;
- средний остаток оборотных средств.
Показывает, сколько раз обернулся средний остаток оборотного капитала за период.
, или
.
Показывает средний размер стоимости оборотных средств, приходящихся на 1 руб. реализованной продукции.
, или
где Д – число календарных дней в периоде.
,
или
обесп
Показывает, на сколько необходимые для организации запасы и затраты обеспечиваются собственными оборотными средствами
,
или
I пер. сост =
;
I пост. сост =
,
или
I пост. сост =
;
I стр.сдв.=
,
или
I стр.сдв=
,
Где n1, n2-число оборотов оборотных средств в отчетном и базисном периодах;
- средние остатки оборотных средств в отчетном и базисном периодах;
d1,d0- показатели структуры средних остатков оборотных средств в
и d0=
Абсолютное изменение средней оборачиваемости оборотных средств:
за счет следующих факторов:
· Числа оборотов оборотных средств-
;
· Структуры средних остатков оборотных средств-
,
или
Iпер. сост=
;
Iпер. сост.=
или
;
I стр.сдв..=
,
или
Iстр.сдв.=
;
Где m1, m0- однодневный объем реализованной продукции в отчетном и базисном периодах;
d1, d2-показатели структуры однодневного объема реализованной продукции в отчетном и базисном периодах.
d1=
и d0=
,
Абсолютное изменение средней продолжительности одного оборота оборонных средств:
За счет следующих факторов:
· Продолжительности одного оборота оборотных средств-
· Структуры однодневного объема реализованной
t1-t0)
,
или