Задача о равномерном давлении (задача Лява-1929,1938).

Схема равномерного распределенной нагрузке по прямоугольной площадке по поверхности полупространства.
1. Полупространство фундамента
,
, N – напряжение.
2. Определяется вертикальная сжимаемость под центром фундамента и в угловых точках.
3. точка О – центр подошвы, точка С – угловая точка.
Теоретически обосновано:
1.
, где:
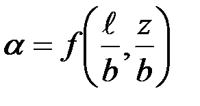
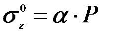
- коэффициент рассеивания напряжений, определяемый по СНиП 2.02.01 – 83. ( круглая, квадратная, прямоугольная)

2. Вертикальные напряжения в угловых точках прямоугольной площадки загружения определяется:
; т. е.
где
.
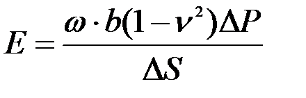
4. В результате решения задачи получена формула для расчета величины осадки под центром фундамента различной формы – формула Шлейхера:
, где w – коэффициент формы, зависящий от формы площади загружения.
Эта формула используется:
А) для расчета осадки поверхности полумассива однородного грунта, под нагрузкой.
Б) для определения Е по данным штамповок испытаний.
В) 
Г) положена в основу расчета осадок по методу эквивалентного слоя Цитовича.
Дата добавления: 2015-08-08; просмотров: 2747;
