Пример 1. Определить вертикальное сжимающее напряжение в точке М от действия сосредоточенной силы N, приложенной к поверхности грунтового основания
Определить вертикальное сжимающее напряжение в точке М от действия сосредоточенной силы N, приложенной к поверхности грунтового основания, если известно: N=25.0кН, точка М находится на глубине 3 м от поверхности и на расстоянии 2 м в сторону от действия силы.

График для определения коэффициента К.

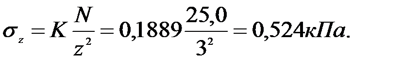
Решение: 1. Определяем отношение r/z=2/3=0,67. По графику находим соответствует К=0,1889.
2. По упрощенной формуле Ж. Буссинеска определяем вертикальное сжимающее напряжение:

Пример 2. Условие (см. пример 1) по z=5 м; r=2 м.

Решение: 1. r/z=2/5=0.4, следовательно, по графику К=0,3294.
2.
.
Вывод: вертикальное сжимающее напряжение зависит от места положения точки, например, с увеличением глубины (место положения точки М) и с удалением от оси напряжения уменьшается.
Напряжения от действия нескольких сосредоточенных сил.

Схема к определению напряжений от действия нескольких сил.
В основе – принцип суперпозиций. Суммарное напряжение равно сумме напряжения от каждой силы.
;
Дата добавления: 2015-08-08; просмотров: 3188;
