Уравнения Максвелла
В основе теории Максвелла, позволяющей описать электрические и магнитные явления в любой среде, лежат записанные ниже уравнения.
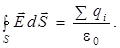
1. 
2. 
3. 
4. 
5. 
6. 
7. 
Первые два уравнения говорят о взаимосвязи электрических и магнитных полей. Согласно этим уравнениям переменное во времени магнитное поле порождает в окружающем пространстве вихревое электрическое поле и переменное во времени электрическое поле создает в пространстве магнитное поле.
Физический смысл третьего и четвертого уравнений состоит в следующем: источником электростатического поля являются свободные и связанные заряды; в природе отсутствуют магнитные заряды.
Пятое и шестое уравнения вводят векторы электрического смещения
и напряженности
магнитного поля, которые, в отличие от истинных векторов
и
, являются вспомогательными, вводимыми для удобства описания полей в присутствии вещества.
Седьмое уравнение представляет собой закон Ома в дифференциальной форме.
Следствием теории Максвелла является существование электромагнитного поля в виде электромагнитных волн (ЭМВ). В основе образования таких волн лежат взаимные превращения электрического и магнитного полей: переменное магнитное поле порождает в окружающем пространстве переменное электрическое поле, и это изменяющееся электрическое поле также создает в окружающем пространстве переменное магнитное поле и т.д. Процесс образования переменных электрического и магнитного полей охватывает все новые и новые области пространства (рис. 10.6б, здесь источником ЭМВ является текущий по проводнику переменный электрический ток).
Лекция 11
Дата добавления: 2015-08-08; просмотров: 735;
