Механика. Материальная точка. Движение материальной точки. Скорость и ускорение произвольно движущейся точки
Механика – это наука о механическом движении тел и происходящих при этом взаимодействиях между ними. Кинематика – раздел механики, который рассматривает лишь само перемещение тел в зависимости от времени.
|
,проведенного из начала координат в рассматриваемую точку (для точек 1 и 2 на рис. 1.1 это векторы
и
), либо с помощью координат x, у, z– проекций вектора
на координатные оси:
, (1.1)
где
- векторы, указывающиенаправление осей Ox, Oy, Oz и равные по модулю единице.
Вектор
,соединяющий начальное и конечное положение тела (точки 1 и 2 на рис. 1.1), называют перемещением. Модуль перемещения меньше или равен пути l– расстоянию, пройденному телом по траектории; они равны в случае прямолинейного движения в одну сторону.
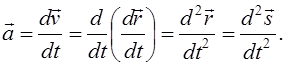
Для определения быстроты движения тела вводят понятие мгновенной скорости
тела в данной точке траектории, равную первой производной от радиус-вектора
(или перемещения
) по времени t:
(1.2)

Вектор
в каждой точке траектории пространства направлен по касательной к ней (рис. 1.2).
Часто используют понятие средняя путевая скорость
– скалярная физическая величина, равная отношению пути l, пройденного телом за времяt, к этому времени t.
|
Быстроту изменения скорости определяют, введя понятиемгновенного ускорения
– ускорения в данной точке траектории, равного первой производной от скорости
по времени t:
(1.3)
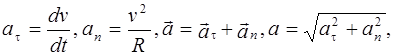
Проекцию вектора ускорения
на направление касательной к траектории называют касательным (тангенциальным) ускорением
, а на направление, перпендикулярное к касательной, – нормальным (центростремительным) ускорением
(см. рис. 1.2):
(1.4)
где v– числовое значение скорости; R– радиус кривизны траектории в данной ее точке, он равен радиусу окружности R, вписанный в малый участок траектории вблизи этой точки.
Касательное ускорение характеризует изменение скорости тела по ее числовой величине (по модулю скорости), а нормальное ускорение – по направлению.
Приведем вывод формул для ускорений aτ и an . Для этого возьмем на траектории движения две близко расположенные точки 1 и 2, разделенные интервалом времени ∆t(рис. 1.3).
|
Перенесем вектор
параллельно самому себе в точку 1 и, отложив на нем отрезок, равный по модулю вектору
, получим точку 3 (рис. 1.3б). Тогда вектор
можно представить в виде суммы двух векторов
При ∆t→0 углы α и β стремятся соответственно к 00 и 900, поэтому вектор
, направленный по касательной к траектории, будет характеризовать изменение числового значения скорости, а вектор
будет перпендикулярен к
. Следовательно,
(1.5)
Длина дуги и расстояние по прямой между точками 1 и 2 (рис. 1.3а) при малых ∆t→dtбудут равны dl1,2 = ds1,2 = vdt. Из подобия треугольников ∆102 (рис. 1.3а) и ∆1v13 (рис. 1.3б) следует
.
Дата добавления: 2015-08-08; просмотров: 1296;
