Теорема Гаусса в дифференциальной форме. Чтобы получить выражение для дивергенции поля Е, над взять бесконечно малый объем V, определить поток вектора Е сквозь замкнутую поверхность

Чтобы получить выражение для дивергенции поля Е, над взять бесконечно малый объем V, определить поток вектора Е сквозь замкнутую поверхность, охватывающую этот объем, и найти отношение этого потока к объему.
В декартовой системе координат

Дивергенция поля Е связана с плотностью заряда ρ в той же точке уравнением

Векторный дифференциальный оператор
(«набла»). В декартовых координатах он имеет вид

Имеет смысл только в сочетании со скалярной или векторной функцией, на которую символически умножается.
это div E. Теорема Гаусса в операторной форме имеет вид
Теорема о циркуляции вектора Е.
Электростатическое поле — поле, образованное системой неподвижных зарядов является консервативным, т. е. работа сил этого поля не зависит от пути, а зависит только от положения начальной и конечной точки. Именно таким свойством обладает Элементарная работа сил поля на перемещение пробного положительного заряда из точки 1 заданного поля Е в точку 2 на пути dl равна Е dl, a вся работа сил поля на пути от точки 1 до точки 2 определяется как

Этот интеграл берется по некоторой линии (пути), поэтому его называют линейным. Интеграл по замкнутому пути называют циркуляцией вектора Е. По произвольному замкнутому пути этот интеграл равен нулю.
Циркуляция вектора Е в любом электростатическом поле равна нулю, т. е.

(теорема о циркуляции вектора Е.)
Работа сил поля при перемещении единичного положительного заряда из точки 1 в точку 2, не зависит от пути между этими точками и равна

где φ1 и φ2 — значения функции φ в точках 1 и 2. Эта величина φ(r) называется потенциалом поля. Работа сил потенциального поля равна убыли потенциальной энергии частицы в поле,а потенциал — это величина, численно равная потенциальной энергии единичного положительного заряда в данной точке поля.
Элементарная убыль потенциала на этом перемещении есть

Потенциал поля неподвижного точечного заряда:
интегрируя ,получаем потенциал поля точечного заряда

Потенциал системы неподвижных точечных зарядов

ri — расстояние от точечного заряда qi до интересующей точки поля.
Если заряды, образующие систему, распределены непрерывно, то

.
Если заряды расположены только на поверхности S, то
Связь между потенциалом и вектором Е

Величина, в скобках это градиент потенциала φ (grad φ или
).
т. е. напряженность Е поля равна со знаком минус градиенту потенциала.
Эквипотенциальные поверхности.
Эквипотенциальной поверхности -поверхности, во всех точках которой потенциал φ имеет одно и то же значение. Там, где эти поверхности расположены гуще («круче потенциальный рельеф»), там напряженность поля больше.
Вектор Е всюду нормален к эквипотенциальной поверхности, линии вектора Е ортогональны этим поверхностям.

Пунктиром показаны — эквипотенциали, сплошными линиями — линии вектора Е.
Электрический диполь.Поле диполя.
Электрический диполь — это система из двух одинаковых по модулю разноименных точечных зарядов + q и— q, находящихся на некотором расстоянии lдруг от друга.
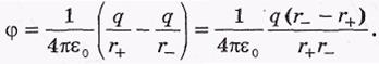
Потенциал поля диполя в точке Р (рис.а)

определяется как

r>>l , r- - r+ = lcosθ , r- ∙ r+=r2

где р = ql — электрический момент диполя - вектор, направленный по оси диполя от отрицательного заряда к положительному:
Поле диполя
Проекции вектора Е на два взаимно перпендикулярных направления — вдоль ортов er и eθ (рис. б):

модуль вектора Е

Сила, действующая на диполь, во внешнем неоднородном электрическом поле
Результирующая сила F, действующая на диполь, равна (рис. а):
или
В общем виде формула для силы, действующей на диполь в неоднородном электрическом поле:



Момент сил, действующих на диполь.


,
. При достаточно малом расстоянии между зарядами диполя

Этот момент сил стремится повернуть диполь так, чтобы его электрический момент р установился по направлению внешнего поля Е. Такое положение диполя является устойчивым.
Энергия диполя в поле.

Диэлектрики.Поляризация диэлектрика
Диэлектриками
Дата добавления: 2015-08-26; просмотров: 1145;
