В основе всего разнообразия явлений природы лежат четыре фундаментальных взаимодействия между элементарными частицами — сильное, электромагнитное, слабое и гравитационное.
Электрическому заряду частицы присущи следующие фундаментальные свойства:
1)электрический заряд существует в двух видах: как положительный, так и отрицательный;
2)в любой электрически изолированной системе алгебраическая сумма зарядов не изменяется, это утверждение выражает закон сохранения электрического заряда;
3)электрический заряд является релятивистски инвариантным: его величина не зависит от системы отсчета, а значит, не зависит от того, движется он или покоится.
Сила
, действующая на неподвижный точечный пробный заряд q'
= q'
Поле точечного заряда. Из опыта (закон Кулона)
=
,
где ε0 — электрическая постоянная; еr — орт радиуса-вектора r, проведенного из центра поля, в котором расположен заряд q, до интересующей нас точки.
Принцип суперпозиции.
Напряженность поля системы точечных неподвижных зарядов равна векторной сумме на-пряженностей полей, которые создавали бы каждый из зарядов в отдельности:

где ri — расстояние между зарядом qi, и интересующей точкой поля.
Распределение зарядов.
При непрерывном распределении зарядов используют понятие о плотности зарядов — объемной ρ, поверхностной σ и линейной λ.

Пример. Заряд распределен по объему:

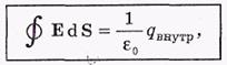
Поток вектора Е.

Теорема Гаусса. Поток вектора Е сквозь произвольную замкнутую поверхность S равен алгебраической сумме зарядов, охватываемых этой поверхностью, деленной на
.

Дата добавления: 2015-08-26; просмотров: 1248;
