Грошова оцінка земель по Автономній Республіці Крим, областях і адміністративних районах
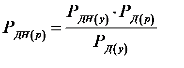
Диференціальний рентний дохід на орних землях, землях під багаторічними насадженнями, природними сіножатями і пасовищами в Автономній Республіці Крим, областях і адміністративних районах розраховується за формулою:
, (4.5)
де Рдн(р) – диференціальний рентний дохід з гектара орних земель, земель під багаторічними насадженнями, природними сіножатями і пасовищами в регіоні (Автономній Республіці Крим, областях і адміністративних районах), цнт;
Рдн(у) – диференціальний рентний дохід з гектара орних земель, земель під багаторічними насадженнями, природними сіножатями і пасовищами по Україні (у), цнт;
Рд(р) – диференціальний рентний дохід за економічною оцінкою по виробництву зернових культур на орних землях, землях під багаторічними насадженнями, природними сіножатями і пасовищами за оцінкою цих угідь по регіону (Автономній Республіці Крим, областях і адміністративних районах), грн.;
Рд(у) – диференціальний рентний дохід за економічною оцінкою по виробництву зернових культур на орних землях, землях під багаторічними насадженнями, природними сіножатями і пасовищами за оцінкою цих угідь по Україні (у),грн.
При відсутності даних економічної оцінки орних земель по виробництву зернових культур у розрахунках використовуються показники економічної оцінки ріллі в цілому.
У регіонах, де проведено економічну оцінку окремо меліорованих і немеліорованих земель, в розрахунках використовуються зведені показники оцінки земель під зерновими культурами в цілому.
До диференціального рентного доходу Рдн(р) з гектара орних земель, земель під багаторічними насадженнями, природними сіножатями і пасовищами в Автономній Республіці Крим, областях і адміністративних районах, визначеного за формулою (4.5), додається абсолютний рентний дохід (1,6 цнт), що становитиме загальний рентний дохід (Рздн).
Грошова оцінка гектара орних земель, земель під багаторічними насадженнями, природними сіножатями і пасовищами в Автономній Республіці Крим, областях і адміністративних районах визначається за формулою (4.4).
Дата добавления: 2015-08-26; просмотров: 923;
