Обобщенный закон Гука
Обобщенный закон Гука представляет собой связь между напряжениями и деформациями в случае объемного и как частый случай плоского напряженных состояний. Он может быть получен на основании закона Гука для линейного напряженного состояния и принципа независимости действия сил.
Пусть задано произвольное объемное напряженное состояние с главными напряжениями s1, s2 и s3. Представим его в виде суммы трех линейных напряженных состояний. Учитывая, что при линейном напряженном состоянии
и
запишем выражение для линейной относительной деформации в направлении
:
.
Деформации в направлении действия главных напряжений равны
;
;
.
Эти выражения носят название обобщенного закона Гука, записанного для главных площадок e1, e2, e3 в направлении главных напряжений называются главными деформациями.
Соотношения обобщенного закона Гука могут быть записаны для любых (не главных) площадок, но так как при этом будут действовать кроме нормальных и касательные напряжения (рис. 3.10), необходимо добавить три соотношения для вычисления угловых деформаций. Таким образом, для произвольных площадок обобщенный закон Гука содержит шесть соотношений, связывающих деформации и напряжения:
;
;
;
;
;
.
Как известно, при деформации происходит изменение формы и объема тела. Рассмотрим относительное изменение объема тела при деформировании. Обратимся к рис. 3.1. Объем элементарного прямоугольного параллелепипеда до деформации
. При деформировании длина каждого ребра может измениться на некоторую величину D и объем того же параллелепипеда после деформирования будет .
Тогда относительное изменение объема может быть вычислено следующим образом:
=
.
Раскрывая скобки и пренебрегая слагаемыми более высокого порядка малости по сравнению с e, получим
.
Подставляя e из обобщенного закона Гука, получим
.
Учитывая, что , запишем выражение для q в виде
.
Из формулы видно, что при положительных направлениях главных напряжений относительное изменение объема может быть положительной величиной, если только коэффициент Пуассона будет ν < 0,5. Таким образом, получается, что для всех существующих в природе материалов коэффициент Пуассона изменяется в пределах 0 £ n£ 0,5 и для большинства конструкционных материалов он равен ν = 0,2…0,3.
Также можно отметить, что если коэффициент Пуассона равен n = 0,5, то относительное изменение объема равно нулю. Резина имеет n ≈ 0,5 , следовательно, при приложении нагрузки её объём практически не меняется, она ведет себя как несжимаемая жидкость. Это свойство резины часто используется в экспериментальной практике.
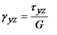
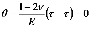
Определим также относительное изменение объема при чистом сдвиге.
Так как при чистом сдвиге
,
,
, то
.
Таким образом, относительное изменение объема при чистом сдвиге равно нулю.
Рассмотрим изменение удельной потенциальной энергии деформации в теле.
Удельной потенциальной энергией деформации u называется величина потенциальной энергии деформации U, накопленной в единице объема тела V. Для линейного напряженного состояния:
.
Используя принцип независимости действия сил, полученный результат можно обобщить на случай объемного напряженного состояния:
.
В случае площадок общего положения (не главных площадок) выражение для удельной потенциальной энергии приобретает вид:
.
Предыдущее выражение можно преобразовать с помощью формул обобщенного закона Гука к виду:
. (3.5)
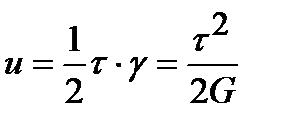
Рассмотрим напряженное состояние чистого сдвига. Запишем выражение удельной потенциальной энергии деформации по площадкам чистого сдвига:
.
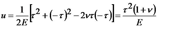
С другой стороны, чистый сдвиг – это двухосное напряженное состояние с главными напряжениями
;
, поэтому можно записать u как
.
Очевидно, величина удельной потенциальной энергии деформации u не должна зависеть от того, по каким площадкам она записана, поэтому
, откуда, как упоминалось ранее
.
Таким образом, постоянные упругости материалов, характеризующие жесткость при растяжении и сдвиге и поперечную деформацию, являются зависимыми. Поэтому достаточно определить лабораторным путем при растяжении две характеристики упругости Е и n, а третья G может быть вычислена аналитически.
Дата добавления: 2015-08-21; просмотров: 6039;
