Плоское напряженное состояние

 

Плоским, или двухосным называется напряженное состояние, при котором одно из трех главных напряжений равно нулю (рис. 3.8).

s1
s1
s2
s2
Рис. 3.8
Рассмотрим задачу определения напряжений в площадке общего положения (прямая задача).

Определим напряжения sx и txy, действующие по любой наклонной площадке a по известным главным напряжениям s1и s2 , т.е. решим так называемую прямую задачу теории напряженного состояния.

Для решения этой задачи воспользуемся принципом независимости действия сил. Представим плоское напряженное состояние в виде суммы двух независимых линейных напряженных состояний: первое – при действии только напряжений s1, второе – при действии только напряжений s2(рис. 3.9).

 

s1
s1
Рис. 3.9
a
s2
s1
s1
s2
a
s2
s2
 
a
b
sx1
txy1
sx2
txy2
sx
txy

 

 


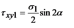
От каждого из напряжений s1, s2 напряжения sx1, sx2 и txy1,txy2 в произвольной площадке равны

; ;

; .

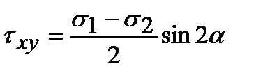
Таким образом, суммируя напряжения, возникшие при каждом линейном напряженном состоянии, получим

(3.1)

.

Если рассмотреть площадку с углом наклона , перпендикулярную к площадке a, то можно доказать, как и для линейного напряженного состояния, что

; (3.2)

.

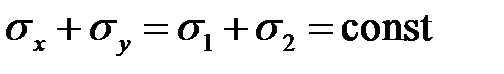
Суммируя нормальные напряжения, действующие по взаимно перпендикулярным произвольным площадкам, получим .

Сравнивая величины касательных напряжений, получим .

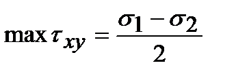
Наибольшие касательные напряжения действуют по площадкам, наклоненным к главным под углом a = 45о

.








Дата добавления: 2015-08-21; просмотров: 903;


Поиск по сайту:

При помощи поиска вы сможете найти нужную вам информацию.

Поделитесь с друзьями:

Если вам перенёс пользу информационный материал, или помог в учебе – поделитесь этим сайтом с друзьями и знакомыми.
helpiks.org - Хелпикс.Орг - 2014-2026 год. Материал сайта представляется для ознакомительного и учебного использования. | Поддержка
Генерация страницы за: 0.004 сек.