Линейное напряженное состояние
Линейным, или одноосным называется напряженное состояние, при котором два из трех главных напряжений равны нулю (рис. 3.6).
Примером линейного напряженного состояния может служить осевое растяжение-сжатие.
Рассмотрим задачу определения напряжений в площадке общего положения. Угол наклона этой площадки α будем отмерять от направления s1 до нормали к площадке
. Примем, что положительный угол α откладывается против хода часовой стрелки, а отрицательный – по ходу часовой стрелки. Направим ось х вдоль нормали
, ось у – перпендикулярно ей. Расчетная схема для определения напряжений s x и t ху представлена на рис. 3.7.
Получим
,

Рис. 3.6 Рис. 3.7
где
– площадь наклонной площадки;
– площадь поперечного сечения, перпендикулярного к s1;
– полное напряжение, действующее по наклонной площадке.
Учитывая, что
, получим
.
Раскладывая pa на направление осей х и у, получим
, 
Рассмотрим площадку b, перпендикулярную площадке a, угол
.
Направим ось y по нормали к этой площадке. Нормальные напряжения, действующие по этой площадке, равны
.
Складывая sх и sу, получим sx + sy = s1 = const,т.е.сумма нормальных напряжений по двум взаимно перпендикулярным площадкам величина постоянная и равна главному напряжению.
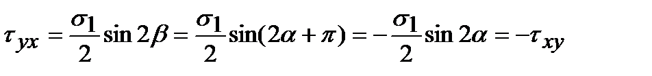
Касательные напряжения, действующие по наклонной площадке b
,
т.е. справедлив закон парности касательных напряжений.
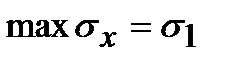
Нормальные напряжения sx по наклонной площадке a достигают максимального значения
при a = 0, т.е. в поперечном сечении.
Касательные напряжения τxy по наклонной площадке a достигают максимального значения
при a = ± 450.
Дата добавления: 2015-08-21; просмотров: 1521;
