Объемное напряженное состояние
Объемным, или трехосным называется напряженное состояние, при котором все три главных напряжения отличны от нуля (рис. 3.5).
Рассмотрим вопрос определения касательных напряжений в площадках, проходящих через одну из координатных осей x, y или z (рис. 3.1).
Используя принцип независимости действия сил и результаты решения прямой задачи для линейного и плоского напряженных состояний, получим:
;
;
.
При a = 450 касательные напряжения достигают наибольших значений:
;
;
.
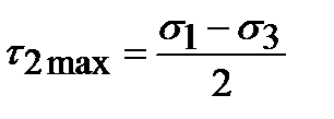
C учетом того, что s1 ³ s2 ³ s3, получим:
.
Таким образом, площадка с наибольшим касательным напряжением наклонена под углом α=450 к главным площадкам с напряжениями s1, s3.
Также можно доказать, что
. .
Дата добавления: 2015-08-21; просмотров: 820;
