Нормальные напряжения и условие прочности
В общем случае в поперечных сечениях стержней могут возникать два вида напряжений: нормальные, направленные по нормали к сечению, и касательные, направленные в плоскости сечения. При центральном растяжении (сжатии) в поперечных сечениях стержней касательные напряжения равны нулю.
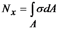
Продольная сила N приложена в центре тяжести поперечного сечения стержня и является равнодействующей нормальных напряжений:
. (2.1)
Это соотношение есть уравнение равновесия статики, связывающее продольную силу Nх и нормальное напряжение s, которое в общем случае является функцией координат у, z и не может быть найдено из одного уравнения статики. Поэтому задача определения напряжений даже в самом простом случае деформирования стержня растяжении (сжатии) оказывается статически неопределимой.
Необходимое для решения этой задачи дополнительное уравнение вытекает из гипотезы плоских сечений. Поскольку поперечные сечения стержня, оставаясь плоскими и перпендикулярными к оси стержня, в процессе деформирования перемещаются вдоль оси стержня лишь поступательно (одинаковое удлинение всех продольных волокон), то e = const и ввиду однозначности связи s и e (для линейно-упругого материала это – закон Гука: s = Е×e) получаем, что s = const. Тогда N = s×A, откуда получим формулу для определения нормальных напряжений в поперечном сечении при растяжении:
,
где
– значение продольной силы в рассматриваемом поперечном сечении;
– площадь рассматриваемого поперечного сечения.
Высказанное предположение о равномерном распределении внутренних сил в поперечном сечении справедливо для участков, достаточно удаленных от мест резкого изменения площади поперечного сечения (рис. 2.2), скачкообразного изменения внешних нагрузок и физико-механических характеристик конструкций.
| F |
| F |
Рис. 2.2
Основанием для такого утверждения служит принцип Сен-Венана, справедливый для любого типа напряженного состояния и формулируемый следующим образом: особенности приложения внешних нагрузок проявляются, как правило, на расстояниях, не превышающих характерных размеров поперечного сечения стержня.
Условие прочности при растяжении (сжатии) призматического стержня для стержня из пластического материала (т. е. материала, одинаково работающего на растяжение и сжатие) будет иметь вид:
, (2.2)
где [s] – допускаемое напряжение.
Для пластичных материалов допускаемое напряжение равно:
– для растяжения,
– для сжатия, (2.3)
где пт– коэффициент запаса прочности по пределу текучести.
Если sтр = sтс, то индексы р и с у напряжений опускаются.
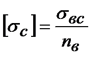
Для хрупких материалов допускаемые напряжения для растяжения и для сжатия равны соответственно:
;
,
где nв – коэффициент запаса прочности по пределу прочности.
Обычно nт < nв.
Величина коэффициента запаса зависит от точности выбранного метода расчета, вероятности наличия дефектов в материале, серьезности последствий разрушения. На величине коэффициента запаса прочности сказывается накопленный опыт в той или иной области техники. Обычно nт выбирается в пределах 1,7…3,5, а пв – в пределах 2…5.
Напряжение s в условии (2.2) подставляется по модулю, так как знак s в этом случае роли не играет. Для стержней из хрупких материалов, неодинаково сопротивляющихся растяжению и сжатию, знак напряжения имеет принципиальное значение, и условие прочности приходится формулировать отдельно для растяжения и сжатия
;
,
где sр и sс – напряжения растяжения и сжатия;
[sр] и [sс] – соответствующие им допускаемые напряжения.
В практике инженерных расчетов, исходя из условия прочности, решаются три основные задачи механики материалов конструкций. В применении к случаю растяжения (сжатия) призматического стержня эти задачи формулируются следующим образом.
1. Проверка прочности (проверочный расчет). Этот расчет проводится, если нагрузка (в нашем случае ее представляет Nх), сечение стержня А и его материал [s] заданы. Необходимо убедиться, что выполняется условие прочности
.
Проверочный расчет заключается в том, что определяется фактический коэффициент запаса прочности п и сравнивается с нормативным коэффициентом запаса [n]:
,
где s0 – предельное (или опасное) напряжение, т. е. напряжение, вызывающее
отказ элемента конструкции (для стержня из пластичного материала
это предел текучести sт или условный предел текучести s0,2).
2. Подбор сечения (проектировочный расчет). В этом расчете по заданной нагрузке (Nх) определяются размеры поперечного сечения стержня (А) из заданного материала ([s] задано). Минимальное значение А получим, если в условии прочности (2.2) принять знак равенства:
.
3. Определение допускаемой нагрузки, т.е. максимального значения нагрузки, которое допускает данный элемент конструкции (А и [s] заданы) при выполнении условия прочности [N] = [s]×А.
Дата добавления: 2015-08-21; просмотров: 1258;
