Свободные колебания
Движения, которые точно или приблизительно повторяются через одинаковые промежутки времени, называются механическими колебаниями.
Движение этого класса окружают нас буквально со всех сторон. Это и покачивание веток деревьев на ветру, вибрация струн у музыкальных инструментов, движение поршня в цилиндре двигателя внутреннего сгорания, колебания воздуха при возникновении звуковых волн и даже биение нашего сердца. Часто такое движение возникает под действием упругих сил или в результате действия силы тяжести. Изучение колебаний важно еще потому, что колебательные процессы встречаются не только среди механических движений, но они свойственны самым разнообразным явлениям природы. Так, например, на колебательных процессах основана вся радиотехника. Атомы в твердых телах непрерывно совершают колебательные движения, и характер этого движения определяет важнейшие свойства окружающих нас тел, таких как прочность или способность проводить тепло.
Механическая система, находящаяся в состоянии колебательного движения, называется осциллятором.
В зависимости от характера воздействия на колеблющуюся систему различают свободные (или собственные) колебания, вынужденные колебания, автоколебания.
Свободными (собственными) колебаниями называют такие, которые происходят под действием внутренних сил без внешних воздействий за счёт первоначально полученной телом энергии. Такие колебания возникают в системе после того, как система была выведена из состояния равновесия и предоставлена самой себе. Примером таких колебаний является пружинный, математический маятник. Отличительной особенностью систем, в которых происходят свободные колебания, является наличие у них положения устойчивого равновесия. Именно около этих положений и совершаются свободные колебания.
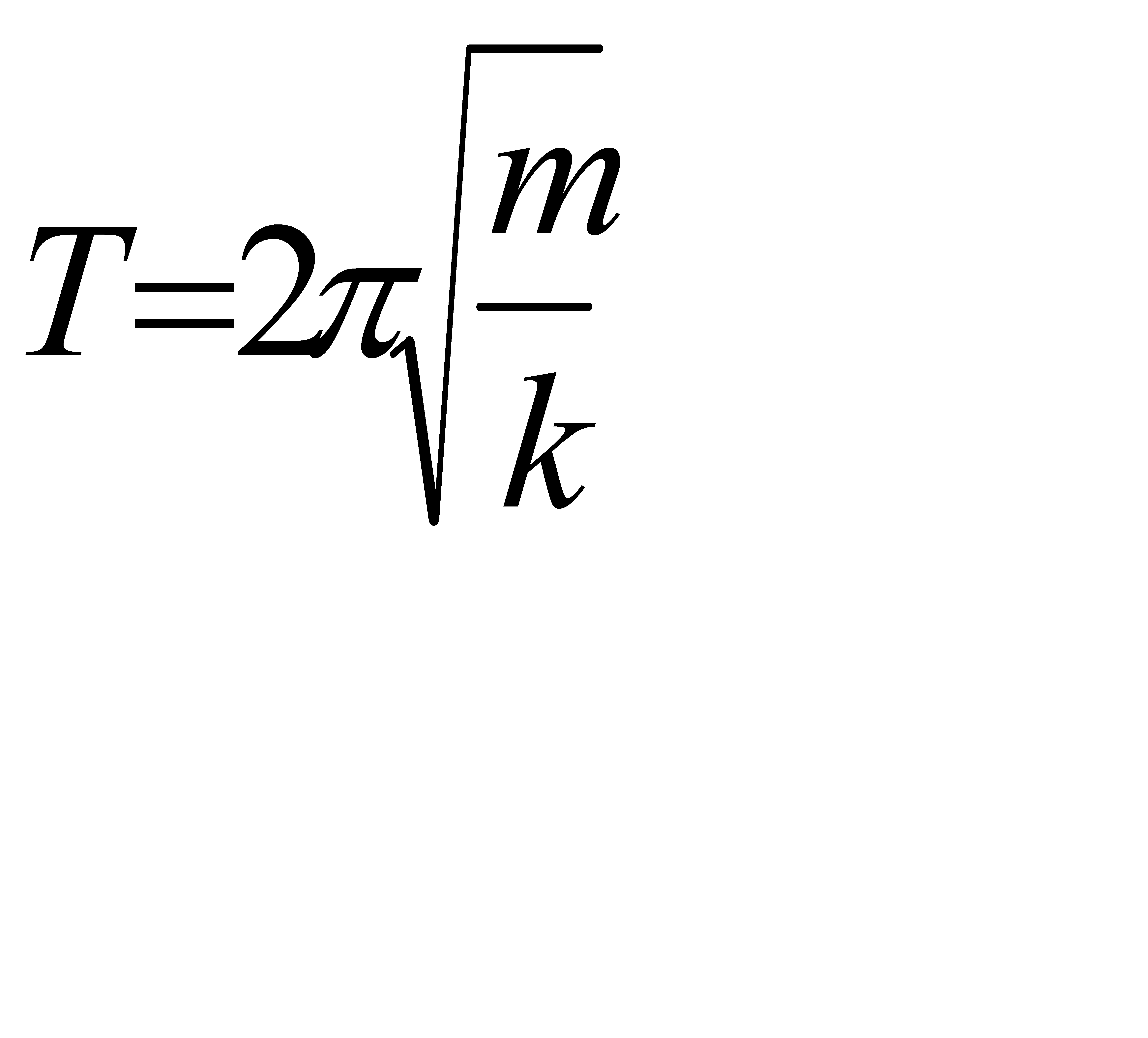
Рассмотрим свободные колебания пружинного маятника.
Пружинный маятник – это некоторое тело на пружине, массой которой можно пренебречь по сравнению с массой тела. Пружина может располагаться либо вертикально (вертикальный пружинный маятник), либо горизонтально (горизонтальный пружинный маятник (рис.5.1).
| Рис. 5.1 |
| Рис.4.1 |
(5.1)
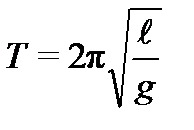
Математический маятник – это идеализированная система, представляющая собой материальную точку, подвешенную на длинной, тонкой, невесомой и нерастяжимой нити, находящейся в поле тяжести Земли (рис. 5.2).
| Рис.5.2 |
F=-mgsinα, пропорциональная смещению. Знак минус указывает, что сила направлена в сторону, противоположную смещению.
Период колебаний математического маятника
( 5.2)
§5.2 Гармонические колебания
Колебания, при которых координаты колеблющегося тела меняются с течением времени по закону синуса (или косинуса), называются гармоническими.
Уравнение гармонических колебаний имеет вид.
x = Asin(ω0t+φ0) или x = Acos(ω0t+φ0) (5.3)
Рассмотрим входящие в выражение (5.3) величины, которыми характеризуются любые колебательные движения:
· А – амплитуда колебаний (максимальное отклонение гармонического осциллятора от положения равновесия);
· ωt+φ0 - фаза колебаний (скалярная величина, определяющая состояние колебательной системы в данный момент времени;
· φ0 - начальная фаза (величина, определяющая состояние колебательной системы в начальный момент времени);
· ω - циклическая, или угловая частота собственных колебаний гармонического осциллятора ( число колебаний за 2π секунд).
Важнейшее свойство гармонических колебаний – их изохронность, т.е. независимость периода от амплитуды и начальной фазы. Именно это свойство позволяет использовать маятники в часах для отсчёта равных промежутков времени.
Дата добавления: 2015-12-08; просмотров: 839;
