Примеры решения задач. Пример 5.8.Запишите уравнение затухающих колебаний материальной точки, если смещение х0 точки при составляет 10см
Пример 5.8.Запишите уравнение затухающих колебаний материальной точки, если смещение х0 точки при
составляет 10см, период затухающих колебаний Т=3с, логарифмический декремент затухания θ=0,03, начальная фаза колебаний равна нулю.
Дано:
; и х0=10см=0,1м; Т= 3с; θ=0,03.
Найти: 1) х(t).
Решение. Уравнение затухающих колебаний, если начальная фаза равна нулю, имеет вид:
, (1)
Где А0 - амплитуда колебаний в момент времени t=0.
Циклическая частота
(2)
Коэффициент затухания δ найдём из выражения для логарифмического декремента затухания: θ=δТ, откуда
.
Амплитуду А0 найдём из начальных условий (х0=10см при
=1с), согласно уравнению (1), где
,
откуда
.
Подставив в формулы (2), (3) и (4) заданные цифры найдём
с-1; δ=0,01; А0=10,1см. Тогда, подставив эти значения в уравнение (1), запишем искомое уравнение затухающих колебаний:

Ответ: 
Пример 5.9.Маятник совершил 100 полных колебаний, при этом его амплитуда уменьшилась в 10 раз. Определить логарифмический декремент затухания маятника.
Дано: N=100;
.
Найти: θ.
Решение. Логарифмический декремент затухания
, (1)
где
условный период затухающих колебаний ( ν - частота колебаний); δ – коэффициент затухания.
Амплитуда затухающих колебаний в момент времени t=0.
Из формулы (1) найдём δ= ν θ, где частоту ν вычислим, зная число N полных колебаний за время t, за которое произошло указанное уменьшение амплитуды:
,
откуда
и тогда
. (3)
Подставив выражение (3) в формулу (2), получаем
,
Откуда искомый декремент затухания

Ответ: θ=0,023
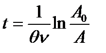
Пример 5.10.Логарифмический декремент θ затухания камертона, колеблющегося с частотой ν=100Гц, составляет 0,002. Определите промежуток времени, за который амплитуда возбужденного камертона уменьшится в 50 раз.
Дано: ν=100Гц; θ=0,002;
.
Найти: t.
Решение. Амплитуда затухающих колебаний изменяется со временем по закону
, (1)
где А0 – начальная амплитуда (в момент времени t=0); δ - коэффициент затухания.
Логарифмический декремент затухания θ =δТ, где
- условный период затухающих колебаний. Тогда
δ=θ ν
и выражение (1) можно записать виде
,
откуда искомый промежуток времени

Ответ: t =19,6 с
Дата добавления: 2015-12-08; просмотров: 5976;
