Двусторонние и односторонние поверхности
План
- Двусторонние и односторонние поверхности
- Определение поверхностного интеграла І типа
- Вычисление поверхностного интеграла І типа
Двусторонние и односторонние поверхности
Пусть поверхность определена явным образом с помощью уравнения
.
Такая поверхность не ограничивает никакое тело, она является незамкнутой. Здесь можно определить верхнюю и нижнюю стороны поверхности. Если поверхность ограничивает какое-то тело, то для нее можно определить внутреннюю и внешнюю стороны.
Рассмотрим гладкую поверхность
, которая может быть замкнутой или ограниченной кусочно-гладким контуром. В каждой точке такой поверхности к ней можно провести касательную плоскость. Возьмем на поверхности некоторую точку
, построим в ней нормаль определенного направления. Построим на поверхности замкнутый контур
, который не пересекает границ поверхности. Будем обходить этот контур, строя в каждой его точке нормаль к поверхности (непрерывно изменяя нормаль). При возвращении в точку
возможны два случая:
· Мы возвратимся в
с тем же направлением нормали, с каким выходили из нее;
· Мы возвратимся в
с противоположным направлением нормали.
Если для поверхности всегда имеет место первый случай, то поверхность является двусторонней, если для поверхности возможен и второй случай, то поверхность односторонняя. Примером односторонней поверхности является лист Мёбиуса.
Дальше рассматриваются лишь двусторонние поверхности.
Определение. Совокупность всех точек поверхности с определенными направлениями нормалей в них называется стороной поверхности.
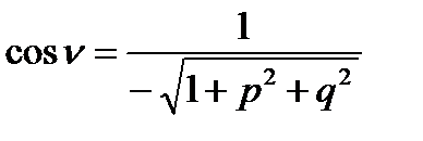
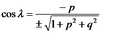
Пример. Пусть поверхность задана с помощью уравнения
, функция
непрерывна в некоторой области
, и
,
- непрерывны в
. Тогда направляющие косинусы нормали к поверхности имеют вид:
,
,
.
Если
, то угол между поверхностью и осью OZ меньше
, определена верхняя сторона поверхности, для
определяется нижняя сторона поверхности.
2. Определение поверхностного интеграла І типа
Пусть
- двусторонняя гладкая или кусочно-гладкая поверхность. На
определена функция
. Разобьем
с помощью произвольных кусочно-гладких кривых на части
,
, ...,
. Возьмем произвольно в каждой части
точку
и вычислим
. Значение
помножим на площадь
, которую обозначим
, тогда сумма

называется интегральной суммой для поверхностного интеграла І типа.
Обозначим:
.
Определение. Если существует
,
который не зависит ни от способа разбиения
на части, ни от выбора промежуточных точек
, то этот предел называется поверхностным интегралом І типа от функции
по поверхности
и обозначается
.
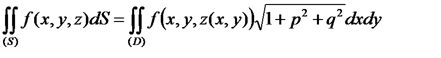
3. Вычисление поверхностного интеграла І типа
Пусть поверхность
определяется параметрично:
.
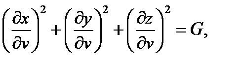
Обозначим:

.
называются гауссовыми коэффициентами поверхности.
Пусть
определена в точках поверхности
и ограничена, тогда:
.
Пусть теперь поверхность
определена:
. Если
рассмотреть как параметры, то параметрическое задание этой поверхности будет иметь вид:
.
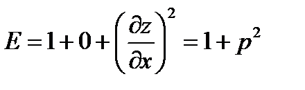
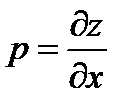
Для такого задания поверхности:
,
,
,
Тогда
.
Задание. Вычислить
,
где
- эллипсоид
. Параметрическое задание эллипсоида:
.
При правильном вычислении результат должен равняться:
.
| <== предыдущая лекция | | | следующая лекция ==> |
| Формула Гріна | | | Двобічні і однобічні поверхні |
Дата добавления: 2015-08-21; просмотров: 2084;
