Формула Гріна
Нехай на області
, яка є криволінійною трапецією І типа (рис.1), визначена фукнкція
, яка є неперервною в
разом з частковою похідною
. Тоді
. (1)
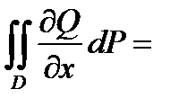
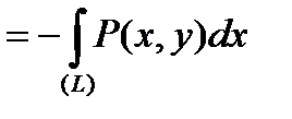
Але ж
, (2)
Підставимо (2) в (1):

, (3)
де
- це контур
, який оббігається в додатному напрямку.
Аналогічно, нехай на області
, яка тепер є криволінійною трпецією ІІ типа (рис.2), визначена функкція
, яка є неперервною в
разом з частковою похідною
. Тоді можна довести, що
. (4)
Зауваження 1. Формула (3) ((4)) має місце, якщо область
прямими, паралельними осі ОУ (осі ОХ) розкладається на скінченну кількість криволінійних трапецій І типу (ІІ типу).
Зауваження 2. Якщо область
одночасно задовольняє умовам обох випадків, тобто розкладається як на скінченну кількість трапецій І типу, так і на скінченну кількість трапецій ІІ типу, і якщо припустити неперервність
,
,
,
, то
. (5)
Формула (5), яка встановлює звязок між криволінійним і подвійним інтегралами, називається формулою Гріна.
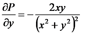
Приклад. Перевірити формулу Гріна для функцій
,
. Обидві функції мають розрив в точці (0,0). Розглянемо як
коло радиуса 1 з центром в (0,0). Тоді
визначається як
.
При цьому
,
,
.
Крім того
.
Таким чином, формула Гріна має місце, хоча в т.(0,0) функції мають розрив.
Дата добавления: 2015-08-21; просмотров: 798;
