Парабола. Вывод канонического уравнения. Виды парабол
| Def. | Параболой называют геометрическое место точек плоскости, расстояние от которых до фиксированной точки, называемой фокусом, равно расстоянию до прямой, называемой директрисой. |
Пусть r – расстояние от точки параболы до фокуса;
d – расстояние от точки параболы до директрисы.
Тогда, по определению, уравнение параболы
.
Получим уравнение параболы, расположенной в плоскости с д.п.с.к. X0Y.
Пусть фокус F принадлежит оси 0X. Директрису проведем перпендикулярно оси 0Х на расстоянии p от фокуса F. Пусть начало координат т.0 – является серединой этого расстояния.
Пусть т. M(x;y) – «текущая» точка параболы.
Пусть r – расстояние от т. M(x;y) до фокуса
;
d – расстояние от т. M(x;y) до директрисы
.
|
По определению параболы
.
По теореме Пифагора из прямоугольного ΔF MN:
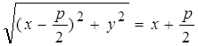
.
Расстояние от т. M(x;y) до директрисы 
.
Таким образом,
.
Возведя обе части в квадрат, получим
.
Откуда
– каноническое (простейшее) уравнение параболы.
| Note 1 | Дома или на п/з доказать, что парабола – кривая второго порядка. |
Так как по определению расстояние
, то из уравнения параболы
следует, что
.
Так как в уравнении параболы ордината «текущей» точки M(x;y) y входит во второй степени, то парабола симметрична относительно оси 0Х. При этом верхнюю и нижнюю части кривой называют ветвями параболы, а начало координат т. О(0;0) – ее вершиной.
| Note 2 | Дома или на п/з обосновать различные виды парабол: |
|
| Парабола симметричная оси 0Y, .
| |
|
| Парабола симметричная оси 0Y, .
| |
|
| Парабола симметричная оси 0X, .
|
| Note 3 | Дома или на п/з доказать, что , т.е. для параболы.
|
| Note 4 | Дома или на п/з (с помощью параллельного переноса системы координат на a по оси 0Х и на b по оси 0Y) доказать, что – уравнение параболы с вершиной в т.С(a;b).
|
|
| Note 5 | Таким образом, основной характеристикой кривой второго порядка является ее эксцентриситет , т.е. если
– окружность,
– парабола,
– гипербола,
– эллипс.
|
Дата добавления: 2015-08-20; просмотров: 2198;

.
.
.
, т.е.
для параболы.
– уравнение параболы с вершиной в т.С(a;b).
, т.е. если
– окружность,
– парабола,
– гипербола,
– эллипс.