Случай адаптивных (статических) ожиданий.
Статические ожидания означают, что ожидаемый темп инфляции равен фактическому темпу инфляции предыдущего периода:
πexpt = πt−1.
В целом при принятых выше предпосылках равновесие в динамической модели описывается следующей системой уравнений:

Рассмотрим, как экономика реагирует на изменение темпа роста денежной массы. Пусть экономика находилась в долгосрочном равновесии, то есть, в исходной ситуации
Y0=Y*, πexp =π0 =m0,
где m0- первоначальный темп роста денег.
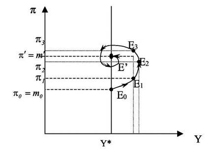
Изобразим первоначальное равновесие графически (см. Рис.4).

Рис.4. Движение к новому долгосрочному равновесию после повышения темпа роста денежной массы с уровня m0 до уровня m′ (случай статических ожиданий).
Рассмотрим увеличение темпа роста денежной массы с уровня m0 до уровня m′.
В результате кривая совокупного спроса сдвинется вверх таким образом, что при прежнем уровне выпуска Y* темп инфляции будет равен возросшему темпу роста денежной массы: π′ = m′. При этом в силу адаптивных ожиданий кривая совокупного предложения останется на месте. В результате краткосрочное равновесие будет иметь место в точке Е1 Заметим, что в первом периоде после изменения темпа роста денежной массы инфляция растет, но остается меньше нового темпа роста денежной массы π0 < π1 < m′.
Поскольку в новом равновесии выпуск выше, чем в первоначальном, то это приведет к дальнейшему сдвигу кривой совокупного спроса. Кривая совокупного спроса сдвинется вправо и станет более пологой (новая кривая должна пройти через точку (Y1,π = m′). Кривая совокупного предложения также сдвинется, поскольку темп инфляции в прошедшем периоде была выше ожидавшегося. Это приведет к росту инфляционных ожиданий, которые во втором периоде будет равны πexp2 = π1 > π0 = πexp1. В результате кривая краткосрочного предложения второго периода пройдет через точку с координатами (Y*,π1). Равновесие во втором периоде окажется в точке Е2, где инфляция еще выше, чем в периоде 1, что объясняется тем, что обе кривые (AD и AS) сдвинулись вверх. На рисунке 4 выпуск во втором периоде также превышает выпуск первого периода, но это не обязательно так. Возможна ситуация, при которой выпуск упадет по сравнению с предыдущим периодом, поскольку кривая совокупного спроса могла сдвинуться меньше, чем кривая совокупного предложения.
В силу роста инфляции кривая совокупного предложения вновь сдвинется вверх, а кривая совокупного спроса в силу увеличения выпуска сдвинется вправо (при падении выпуска она бы сдвинулась влево). Заметим, что в третьем периоде темп инфляции "перепрыгнул" значение, соответствующее новому долгосрочному равновесию, превысив темп роста денежной массы: π3 > m′.
Процесс приспособления будет продолжаться, пока экономика не придет к новому долгосрочному равновесию в точку Е', где выпуск соответствует уровню полной занятости, а темп инфляции равен темпу роста денежной массы m′.
В целом, если схематично отразить процесс приспособления экономики к возросшему темпу роста денежной массы, то траектория движения будет похожа на спираль, как это изображено на рисунке 5.

Рис.5. Приспособление экономики к повышению темпа роста денежной массы с уровня m0 до уровня m′.
Таким образом, рассмотренный нами пример реакции экономики на повышение темпов роста денежной массы показывает, что при адаптивных ожиданиях инфляционный процесс весьма инерционен. Как мы видим из рисунка 4, инфляция продолжает нарастать даже спустя некоторое время после рассматриваемого шока совокупного спроса. Причина инфляционной инерции в том, что при статических ожиданиях корректировка инфляционных ожиданий идет медленно, а, значит, медленно будет приспосабливать и совокупное предложение, поскольку номинальная заработная плата фиксируется в контрактах и пересматривается только по истечении действия контракта.
Случай рациональных ожиданий.
При рациональных ожиданиях, если не происходит ничего непредвиденного, то ожидания оказываются корректны, то есть, πexpt = πt.
Рассмотрим, как модифицируется процесс приспособления экономики к изменению темпа роста денежной массы при замене гипотезы статических ожиданий на гипотезу о рациональных ожиданиях. Заметим, что в долгосрочном периоде механизм формирования ожиданий не имеет значения, то есть, исходная позиция и финальное состояние экономики будут в точности такими же, как в предыдущем случае.
При рациональных ожиданиях важно являлось ли рассматриваемое изменение темпа роста денежной массы ожидаемым или это произошло неожиданно. При ожидаемом изменении (повышении) темпа роста денежной массы эта информация принимается во внимание на этапе формирования ожиданий и, таким образом, при увеличении m сдвигается не только динамическая кривая совокупного спроса, но и кривая совокупного предложения, причем обе сдвигаются вверх на одну и ту же величину. Действительно, как мы видели, новая кривая совокупного спроса должна пройти через точку с координатами (Y*,π′ = m′).
Новая кривая совокупного предложения также пройдет через эту точку, поскольку новые инфляционные ожидания соответствуют уровню инфляции π′ =m′. В результате равновесие из точки Е0 сразу же переместится в точку Е1 и даже в краткосрочном периоде не будет отклонения от выпуска при полной занятости (см. рис.6).

Рис. 6. Движение к новому долгосрочному равновесию при ожидаемом повышении темпа роста денежной массы с уровня m0 до уровня m′ при рациональных ожиданиях.
Если рассмотренные выше изменения в денежно-кредитной политике оказались непредвиденными, то даже при рациональных ожиданиях мы будем наблюдать отклонения выпуска от выпуска при полной занятости. Правда следует отметить, что в отличие от случая адаптивных ожиданий подобное отклонение будет непродолжительным.
Итак, при неожиданном увеличении темпа роста денежной массы динамическая кривая совокупного спроса сдвинется вправо, а кривая совокупного предложения останется прежней, как показано на рисунке 7. В результате в краткосрочном периоде равновесие переместится в точку Е1 Однако уже в следующем периоде, приняв во внимание произошедшие изменения, агенты пересмотрят свои ожидания, и ожидания во втором периоде будут соответствовать фактической инфляции (при условии, что более ничего неожиданного не произойдет). В результате во втором периоде кривая предложения сдвинется вверх и новое равновесие будет соответствовать точке Е'.

Рис 7. Движение к новому долгосрочному равновесию при неожиданном повышения темпа роста денежной массы с уровня m0 до уровня m′ при рациональных ожиданиях.
Мы рассмотрели реакцию экономики на монетарный шок. Следует отметить, что приспособление, вызванное изменением в фискальной политики при рациональных ожиданиях также не повлияет на выпуск, если это изменение ожидаемое. Причина та же, что и ранее: ожидаемые изменения учитываются заранее при установлении заработной платы, фиксируемой в контракте, а потому сдвиг кривой совокупного спроса будет сопровождаться адекватным сдвигом кривой совокупного предложения, а выпуск при этом не изменится.
Полученный вывод об отсутствии реакции выпуска на ожидаемые (предвиденные) изменения в экономической политике носит название утверждения Лукаса-Саржента-Уолэса. Суть утверждения в том, что при рациональных ожиданиях, совершенных рынках и симметричной информации, ожидаемая экономическая политика не оказывает влияние на выпуск, и лишь неожиданные изменения в экономической политике могут привести к отклонению выпуска от выпуска при полной занятости.
Дата добавления: 2015-08-14; просмотров: 944;
