Уравнение Бернулли
Выделим мысленно в наклонной трубке тока (или настоящей трубе) область, ограниченную сечениями S1 и S2,в которых идеальная жидкость плотности р течет соответственно со скоростями v1 и v2 (рис. 2). За малое время ∆t масса жидкости ∆m = pS1v1∆t втекает в указанную область, а масса ∆m = pS2v2∆t — вытекает оттуда. Эти массы равны в силу несжимаемости жидкости (плотность р постоянна) и уравнения неразрывности (1): ∆m1 = ∆m2 = ∆m.
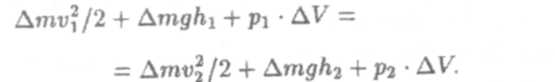
Изменение полной энергии рассматриваемой области равно разности полных энергий втекающей и вытекающей масс: ∆W = W2 — W1. Поскольку же энергия каждой массы есть сумма ее кинетической и потенциальной энергий, то:
где g — ускорение свободного падения. Согласно закону сохранения энергии, это изменение равно сумме работ внешних сил давления F1 и F2, действующих на соответствующие сечения (рис. 2): ∆W=∆A1 + ∆А2. Применяя определение работы, данное в разделе "Механика", получаем:
|
Если учесть, что F1 = p1 S1 и F2 = p2S2 (здесь p1 и p2 — давления в сечениях S1 и S1соответственно), то:
|
В то же время S1v1∆t = S2v2∆t = ∆V — протекший за время ∆t объем. Значит:
Теперь из формул (2-4) следует:
Разделим обе части последнего равенства на ∆V. С учетом того, что ∆m/∆V = р — плотность жидкости, это дает:
А поскольку сечения выбраны произвольно, получаем

Слагаемые в левой части (5) представляют собой, соответственно, кинетическую (pv2/2), потенциальную (pgh) и обусловленную силами давления (р) удельные (приходящиеся на единицу объема) энергии жидкости. Таким образом, уравнение Бернулли(5) эквивалентно утверждению:
Для установившегося течения идеальной жидкости сумма удельных кинетической, потенциальной, и обусловленной силами давления энергий одинакова в любом поперечном сечении потока.
Эта формулировка логично следует из вывода уравнения Бернулли с использованием закона сохранения энергии, следствием которого оно и является. Слагаемым в левой части (5) можно приписать не только смысл удельных энергий, но и давлений. Относительно упругого давления р и гидростатического pgh это очевидно. Первое слагаемое pv2/2 также имеет размерность давления и называется динамическим давлением. Поэтому уравнение Бернулли можно трактовать и так:
Для установившегося течения идеальной жидкости полное давление, равное сумме динамического, гидростатического и упругого давлений, одинаково в любом поперечном сечении потока.
Если трубка тока горизонтальна (pgh = const), то уравнение Бернулли принимает вид:
т.е. чем больше скорость, тем меньше статическое давление. Это утверждение иллюстрируется установкой, изображенной на рис. 3. Поскольку, согласно уравнению неразрывности, скорость течения больше на более узких участках трубы, показание манометров (измеряющих статическое давление) на этих участках меньше: если S1 < S2 < S3, то p1 < p2 < p3.
A.
Рассмотрим вспаханное поле, где валы чередуются с бороздами (рис. 4). Пусть ветер дует перпендикулярно направлению борозд. Тогда приземный слой воздуха можно рассматривать как трубку тока с переменным сечением (над бороздами сечение максимально, а над валами — минимально). Исходя из вышеизложенного, давление над бороздами больше, чем над валами. Поэтому в поверхностном слое почвы возникает движение воздуха, направленное от оснований борозд к вершинам валов. Так происходит газообмен между почвой и атмосферой. Это явление носит название аэрации почвы.
Лекция № 19
Дата добавления: 2015-08-11; просмотров: 2410;
