Первое начало термодинамики.
Работа газа. Теплоемкость
Основные понятия
Термодинамика — это учение о связи и взаимопревращениях различных видов энергии теплоты и работы. Термодинамика основывается на двух опытных законах или началах. Первое начало термодинамики представляет собой закон сохранения энергии применительно к термодинамике, однако, оно не указывает направления тепловых процессов. Это направление указывает второе начало термодинамики, определяя также наибольшие возможные превращения теплоты в работу при круговых процессах. Это имеет исключительно важное значение для техники. Введем некоторые основные понятия термодинамики.
Термодинамическая система — макроскопическое тело или группа тел, которым свойственны процессы, сопровождающиеся переходом теплоты в другие виды энергии и обратные процессы. Термодинамические параметры — величины давления р, объема V и температуры T, полностью характеризующие состояние системы.
Внутренняя анергия тела U включает в себя кинетическую энергию хаотического движения молекул, потенциальную энергию их взаимодействия, кинетическую и потенциальную энергии колебательного движения атомов в молекулах и внутриатомную энергию.
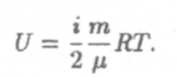
Молекулярно-кинетическая теория идеального газа с учетом только кинетической энергии движения молекул дает формулу:

Внутренняя энергия является функцией состояния, т.е. она зависит только от термодинамических параметров данного состояния U = f(p,V,T). Изменение внутренней энергии AU = U2 — U1 определяется начальным и конечным состоянием системы.
Количество теплоты Q — количество энергии отданное или полученное телом в процессе теплопередачи. Это мера той части внутренней энергии, которая обусловлена хаотическим движением частиц. Зависит от пути перехода системы из одного состояния в другое.
Работа А — мера переданной другому телу и телам механической энергии. И работа и количество теплоты не являются отдельными формами энергии, они проявляются в процессе передачи энергии.
Количество теплоты и работы эхвивиалептпы, т.е. это вза-имопревращаемые формы передачи энергии и в реальных условиях они сопутствуют друг другу. Это было доказано в конце 18 - середине 19 века на многочисленных опытах, венцом которых стал опыт Джоуля по установлению механического эквивалента теплоты. В системе СИ [Q] = [А] = Дж.
Дата добавления: 2015-08-11; просмотров: 645;
