Работа газа
Рассмотрим идеальный газ, заключенный в цилиндр с легко скользящим поршнем без трения (рис. 1). При расширении газа элементарная работа, которую он совершает при перемещении поршня на малое расстояние dl, равна dA = fdl, где f— сила, действующая со стороны газа на поршень.

Но давление газа р = f/S, где S — площадь поверхности поршня. Тогда f = pS и работа dA = pSdl; так как Sdl = dV — увеличение объема газа, то получаем формулу работы газа

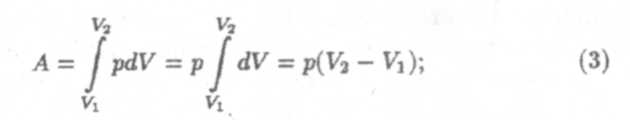
Из полученной формулы видно, что при расширении газа (dV > 0) работа положительна (dA > 0), т.е. газ совершает работу над внешними телами, а при сжатии газа (dV < 0) работа отрицательна (dA < 0), т.е. работа совершается над газом. Чтобы найти полную работу газа при расширении от объема V1 до объема V2, выражение (1) надо проинтегрировать
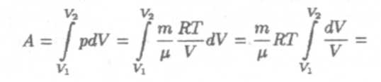
| б) изохорический (V =const) А = 0 (т.к. dV = 0); в) изотермический (Т = const). Используя уравнение Менделеева-Клапейрона, найдем |

| Эта формула позволяет рассчитать работу газа при изопроцес-сах: а) изобарический (р = const) |
Дата добавления: 2015-08-11; просмотров: 933;
